ЕГЭ по математике - 2008 - Страница 106 - ФОРУМ Набор курьеров Яндекс.Еда до 3400 руб. в день

Коллективный блог
Форум




Войти
или
Зарегистрироваться
Новые сообщения · Участники · Правила форума · Поиск по форуму · RSS
Архив - только для чтения
ЕГЭ по математике - 2008
menphisДата: Понедельник, 2008-06-02, 8:51 PM | Сообщение # 1576
Бакалавр
Группа: Пользователи
Сообщений: 164
Репутация: 11
Награды: 0
Замечания: 0%
Статус: Offline
производная равна 3x^2+42x+63=0 <=>x^2+14x+21=0
D=196-84=112
x1,2=-7+-корень(28)
 
DaimondДата: Понедельник, 2008-06-02, 8:51 PM | Сообщение # 1577
Аспирант
Группа: Проверенные
Сообщений: 491
Репутация: 34
Награды: 0
Замечания: 0%
Статус: Offline
Город: Ейск
Quote (Михалычъ)
кто нибудь выложите решение плиз

Де задание??))


Дайте мне в руку шашку, и я устрою революцию!!!

P.S. Бабры вперёт!!!!))
 
LelyaДата: Понедельник, 2008-06-02, 8:51 PM | Сообщение # 1578
Бакалавр
Группа: Пользователи
Сообщений: 118
Репутация: 5
Награды: 0
Замечания: 0%
Статус: Offline
Город: Москва
mens-evgenij, так ты решишь???))))))))))
 
МихалычъДата: Понедельник, 2008-06-02, 8:53 PM | Сообщение # 1579
Бакалавр
Группа: Пользователи
Сообщений: 156
Репутация: 6
Награды: 0
Замечания: 0%
Статус: Offline
Город: Самара
menphis, спасибо.плюс твой))
 
mens-evgenijДата: Понедельник, 2008-06-02, 8:53 PM | Сообщение # 1580
Студент
Группа: Пользователи
Сообщений: 24
Репутация: 0
Награды: 0
Замечания: 0%
Статус: Offline
Lelya может просто скинешь? лень искать
 
Jolie_filleДата: Понедельник, 2008-06-02, 8:53 PM | Сообщение # 1581
Бакалавр
Группа: Проверенные
Сообщений: 129
Репутация: 7
Награды: 0
Замечания: 0%
Статус: Offline
Город: Екатеринбург
menphis, вот я дура... 21*2 у меня 41 получается angry
 
menphisДата: Понедельник, 2008-06-02, 8:55 PM | Сообщение # 1582
Бакалавр
Группа: Пользователи
Сообщений: 164
Репутация: 11
Награды: 0
Замечания: 0%
Статус: Offline
Jolie_fille, у меня тож заскоки такие часто бывают))
 
69Milashka69Дата: Понедельник, 2008-06-02, 8:55 PM | Сообщение # 1583
Аспирант
Группа: Пользователи
Сообщений: 357
Репутация: 21
Награды: 0
Замечания: 0%
Статус: Offline
Город: Железнодорожный
Я ПОНЯЛА,...................... Я ПОНЯЛА!!!!!!!!! СПАСИБо wacko ВСЕМ)
 
LelyaДата: Понедельник, 2008-06-02, 8:55 PM | Сообщение # 1584
Бакалавр
Группа: Пользователи
Сообщений: 118
Репутация: 5
Награды: 0
Замечания: 0%
Статус: Offline
Город: Москва
acid_burn, согласна с тобой, я тоже всегда решала таким способом........)))))))))..........и всё норм было..............а ты забей........лучше решай что-нибудь........а то время идёт))))!!!!!!!!!! а осталось уже полтора дня))))))))))
 
MeisonДата: Понедельник, 2008-06-02, 8:56 PM | Сообщение # 1585
Бакалавр
Группа: Проверенные
Сообщений: 117
Репутация: 12
Награды: 0
Замечания: 0%
Статус: Offline
Lelya, правильно =) задания в студию =)

Я в контакте
 
DaimondДата: Понедельник, 2008-06-02, 8:57 PM | Сообщение # 1586
Аспирант
Группа: Проверенные
Сообщений: 491
Репутация: 34
Награды: 0
Замечания: 0%
Статус: Offline
Город: Ейск
Так что насчёт Ц пятых)) К этому заданию никто не сабирается гатовиться??)

Дайте мне в руку шашку, и я устрою революцию!!!

P.S. Бабры вперёт!!!!))
 
menphisДата: Понедельник, 2008-06-02, 8:58 PM | Сообщение # 1587
Бакалавр
Группа: Пользователи
Сообщений: 164
Репутация: 11
Награды: 0
Замечания: 0%
Статус: Offline
Daimond, выкладывай - порешаем
 
69Milashka69Дата: Понедельник, 2008-06-02, 8:58 PM | Сообщение # 1588
Аспирант
Группа: Пользователи
Сообщений: 357
Репутация: 21
Награды: 0
Замечания: 0%
Статус: Offline
Город: Железнодорожный
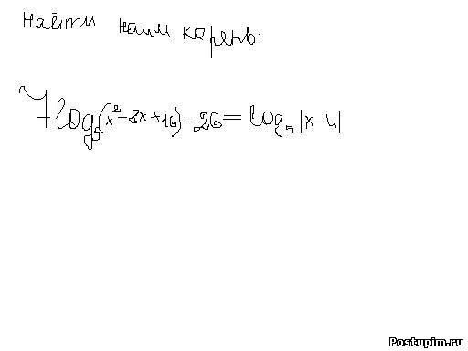
давайте ещё что-нить решим вместе??? предлагаю....
Прикрепления: 5458952.jpg (10.3 Kb)
 
MeisonДата: Понедельник, 2008-06-02, 9:02 PM | Сообщение # 1589
Бакалавр
Группа: Проверенные
Сообщений: 117
Репутация: 12
Награды: 0
Замечания: 0%
Статус: Offline
69Milashka69, ответ, у меня, получается 29

Добавлено (2008-06-02, 9:02 Pm)
---------------------------------------------
он правда единственный =)


Я в контакте
 
LelyaДата: Понедельник, 2008-06-02, 9:03 PM | Сообщение # 1590
Бакалавр
Группа: Пользователи
Сообщений: 118
Репутация: 5
Награды: 0
Замечания: 0%
Статус: Offline
Город: Москва
вообщем Б9,Б10 и Б11)))))))
Прикрепления: 9854445.doc (107.0 Kb)
 
Поиск: