Физика Вторая волна - Страница 9 - ФОРУМ Набор курьеров Яндекс.Еда до 3400 руб. в день

Коллективный блог
Форум




Войти
или
Зарегистрироваться
Новые сообщения · Участники · Правила форума · Поиск по форуму · RSS
Архив - только для чтения
Физика Вторая волна
джентельменДата: Вторник, 2010-07-13, 3:11 PM | Сообщение # 121
Аспирант
Группа: Проверенные
Сообщений: 339
Репутация: 27
Награды: 2
Замечания: 0%
Статус: Offline
Город: Казань
спасибо)

у меня нет мания величия-великие люди этим не страдают.
Русский язык - 65
Математика -75
Физика-65


Сообщение отредактировал джентельмен - Вторник, 2010-07-13, 3:11 PM
 
Vanya92Дата: Вторник, 2010-07-13, 3:17 PM | Сообщение # 122
Доцент
Группа: Проверенные
Сообщений: 699
Репутация: 139
Награды: 21
Замечания: 0%
Статус: Offline
pcath, зависит! Еще когда изотерма изменение внутренней энергии равно 0 smile

- мне кажется, что этот салат вчерашний!
- я тебе больше скажу: он еще и завтрашний
 
anrina-katyДата: Вторник, 2010-07-13, 3:20 PM | Сообщение # 123
Бакалавр
Группа: Пользователи
Сообщений: 166
Репутация: 2
Награды: 0
Замечания: 0%
Статус: Offline
джентельмен, оно ж на фото
Прикрепления: 2358103.jpg (130.5 Kb)


МГТУ им Баумана
 
pcathДата: Вторник, 2010-07-13, 3:20 PM | Сообщение # 124
Бакалавр
Группа: Пользователи
Сообщений: 140
Репутация: 3
Награды: 0
Замечания: 0%
Статус: Offline
Город: Москва
Vanya92 просто что-то не очень понимаю адиабатный процесс. теплообмена нет, Q=0,те это теплоемкость = 0?
так.кажется,поняла.ох,физика


Сообщение отредактировал pcath - Вторник, 2010-07-13, 3:22 PM
 
Vanya92Дата: Вторник, 2010-07-13, 3:23 PM | Сообщение # 125
Доцент
Группа: Проверенные
Сообщений: 699
Репутация: 139
Награды: 21
Замечания: 0%
Статус: Offline
pcath, нет, это значит, что процесс произошел очень быстро. И тепло просто не успело изменится

Добавлено (2010-07-13, 3:23 PM)
---------------------------------------------

Quote
теплоемкость = 0?

теплоемкость у каждого вещ-ва разная. И не зависит от какого-либо процесса.
Может ты что-то другое имела ввиду?


- мне кажется, что этот салат вчерашний!
- я тебе больше скажу: он еще и завтрашний


Сообщение отредактировал Vanya92 - Вторник, 2010-07-13, 3:23 PM
 
anrina-katyДата: Вторник, 2010-07-13, 3:23 PM | Сообщение # 126
Бакалавр
Группа: Пользователи
Сообщений: 166
Репутация: 2
Награды: 0
Замечания: 0%
Статус: Offline
pcath, Vanya92, какие вы все умные.....

МГТУ им Баумана
 
Vanya92Дата: Вторник, 2010-07-13, 3:24 PM | Сообщение # 127
Доцент
Группа: Проверенные
Сообщений: 699
Репутация: 139
Награды: 21
Замечания: 0%
Статус: Offline
anrina-katy, Это только кажется
русский 69 smile


- мне кажется, что этот салат вчерашний!
- я тебе больше скажу: он еще и завтрашний
 
anrina-katyДата: Вторник, 2010-07-13, 3:24 PM | Сообщение # 128
Бакалавр
Группа: Пользователи
Сообщений: 166
Репутация: 2
Награды: 0
Замечания: 0%
Статус: Offline
кидайте мне с, может есть подобные решения....

МГТУ им Баумана
 
pcathДата: Вторник, 2010-07-13, 3:28 PM | Сообщение # 129
Бакалавр
Группа: Пользователи
Сообщений: 140
Репутация: 3
Награды: 0
Замечания: 0%
Статус: Offline
Город: Москва
Vanya92 тепло ~ температуре. температура изменяется => это теплоемкость 0 (те кол-во теплоты,которое следует передать телу,чтобы повысить на 1К,те это в глобальном смысле,а не для каждого вещества)

да,наверно,это как-то по-другому называется

Сообщение отредактировал pcath - Вторник, 2010-07-13, 3:29 PM
 
Vanya92Дата: Вторник, 2010-07-13, 3:29 PM | Сообщение # 130
Доцент
Группа: Проверенные
Сообщений: 699
Репутация: 139
Награды: 21
Замечания: 0%
Статус: Offline
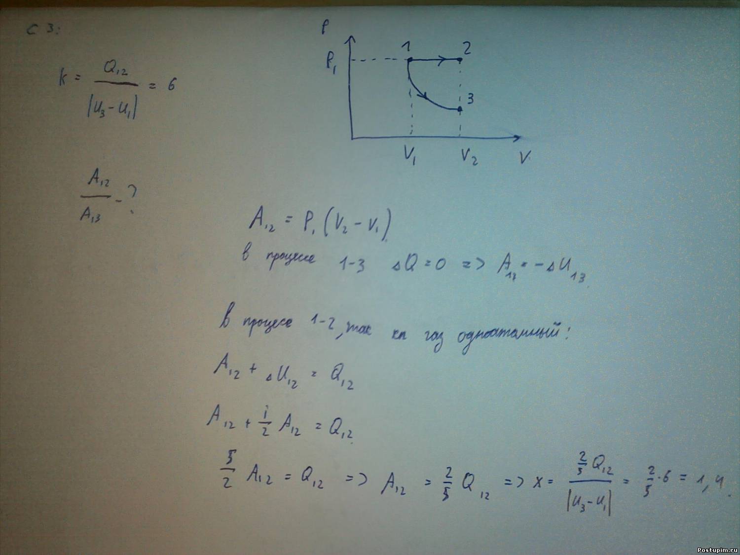
ну вот с3:
Прикрепления: 8026871.jpg (103.3 Kb)


- мне кажется, что этот салат вчерашний!
- я тебе больше скажу: он еще и завтрашний
 
anrina-katyДата: Вторник, 2010-07-13, 3:29 PM | Сообщение # 131
Бакалавр
Группа: Пользователи
Сообщений: 166
Репутация: 2
Награды: 0
Замечания: 0%
Статус: Offline
давайте возьмем один конкретный вариант и полностью по нему пройдемся?????

МГТУ им Баумана
 
pcathДата: Вторник, 2010-07-13, 3:29 PM | Сообщение # 132
Бакалавр
Группа: Пользователи
Сообщений: 140
Репутация: 3
Награды: 0
Замечания: 0%
Статус: Offline
Город: Москва
anrina-katy я на самом деле физику вообще не понимаю=) и чувствую,что это последний шанс ее понять=)
 
Vanya92Дата: Вторник, 2010-07-13, 3:31 PM | Сообщение # 133
Доцент
Группа: Проверенные
Сообщений: 699
Репутация: 139
Награды: 21
Замечания: 0%
Статус: Offline
pcath, нет, теплоемкость это как раз
Quote
кол-во теплоты,которое следует передать телу,чтобы повысить на 1К

Просто если она равна 0, то температура тела была бы равна бесконечности


- мне кажется, что этот салат вчерашний!
- я тебе больше скажу: он еще и завтрашний
 
reevanДата: Вторник, 2010-07-13, 3:32 PM | Сообщение # 134
Академик
Группа: Проверенные
Сообщений: 1761
Репутация: 399
Награды: 38
Замечания: 0%
Статус: Offline
Город: Москва
Quote (pcath)
теплообмена нет, Q=0,те это теплоемкость = 0

так и есть smile


\
 
джентельменДата: Вторник, 2010-07-13, 3:32 PM | Сообщение # 135
Аспирант
Группа: Проверенные
Сообщений: 339
Репутация: 27
Награды: 2
Замечания: 0%
Статус: Offline
Город: Казань
anrina-katy, давай.

у меня нет мания величия-великие люди этим не страдают.
Русский язык - 65
Математика -75
Физика-65
 
Поиск: