|
ЕГЭ по математике 2010
|
|
| ronr2010 | Дата: Четверг, 2010-02-25, 3:15 PM | Сообщение # 76 |
Академик
Группа: Проверенные
Сообщений: 1211
Репутация: 195
Замечания: 20%
Статус: Offline
| А тебе что именно Добавлено (2010-02-25, 3:15 Pm) --------------------------------------------- Galija2010, ты столько ошибок допустила в В 
Заебало все если честно
|
| |
| |
| ronr2010 | Дата: Четверг, 2010-02-25, 3:17 PM | Сообщение # 77 |
Академик
Группа: Проверенные
Сообщений: 1211
Репутация: 195
Замечания: 20%
Статус: Offline
| В 12 на самом деле легко решается, я чуть позже объясню Пока с 4 порешаю
Заебало все если честно
|
| |
| |
| Galija2010 | Дата: Четверг, 2010-02-25, 3:20 PM | Сообщение # 78 |
Доцент
Группа: Проверенные
Сообщений: 691
Репутация: 160
Замечания: 0%
Статус: Offline
Город: Дюртюли
| Quote (ronr2010) Galija2010, ты столько ошибок допустила в В Блиин! А где еще??? Объясни этот В12 и В4... Сегодня контрольная была по химии, так что прошу простить  Добавлено (2010-02-25, 3:20 Pm) --------------------------------------------- ronr2010, И решения С3 и С4 если не трудно...
Студентка уже :-Р 
|
| |
| |
| Dims0n | Дата: Четверг, 2010-02-25, 3:21 PM | Сообщение # 79 |
Студент
Группа: Пользователи
Сообщений: 71
Репутация: 1
Замечания: 0%
Статус: Offline
| Попозже объяснит, написал же . Кстати у кого из здесь присутствующих хорошо с физикой? Завтра будет вариант!
|
| |
| |
| Galija2010 | Дата: Четверг, 2010-02-25, 3:23 PM | Сообщение # 80 |
Доцент
Группа: Проверенные
Сообщений: 691
Репутация: 160
Замечания: 0%
Статус: Offline
Город: Дюртюли
| Dims0n, А давай пока ты В4 объясни. По-любому у меня глупая ошибка как всегда
Студентка уже :-Р 
|
| |
| |
| Dims0n | Дата: Четверг, 2010-02-25, 3:25 PM | Сообщение # 81 |
Студент
Группа: Пользователи
Сообщений: 71
Репутация: 1
Замечания: 0%
Статус: Offline
| Rocker16, ок! Galija2010, с радостью бы! Но к сожалению убегаю к репетитору на физику. Как приду, если здесь будешь, то объясню! Если сама конечно не додумаешь.
Сообщение отредактировал Dims0n - Четверг, 2010-02-25, 3:27 PM |
| |
| |
| ronr2010 | Дата: Четверг, 2010-02-25, 3:31 PM | Сообщение # 82 |
Академик
Группа: Проверенные
Сообщений: 1211
Репутация: 195
Замечания: 20%
Статус: Offline
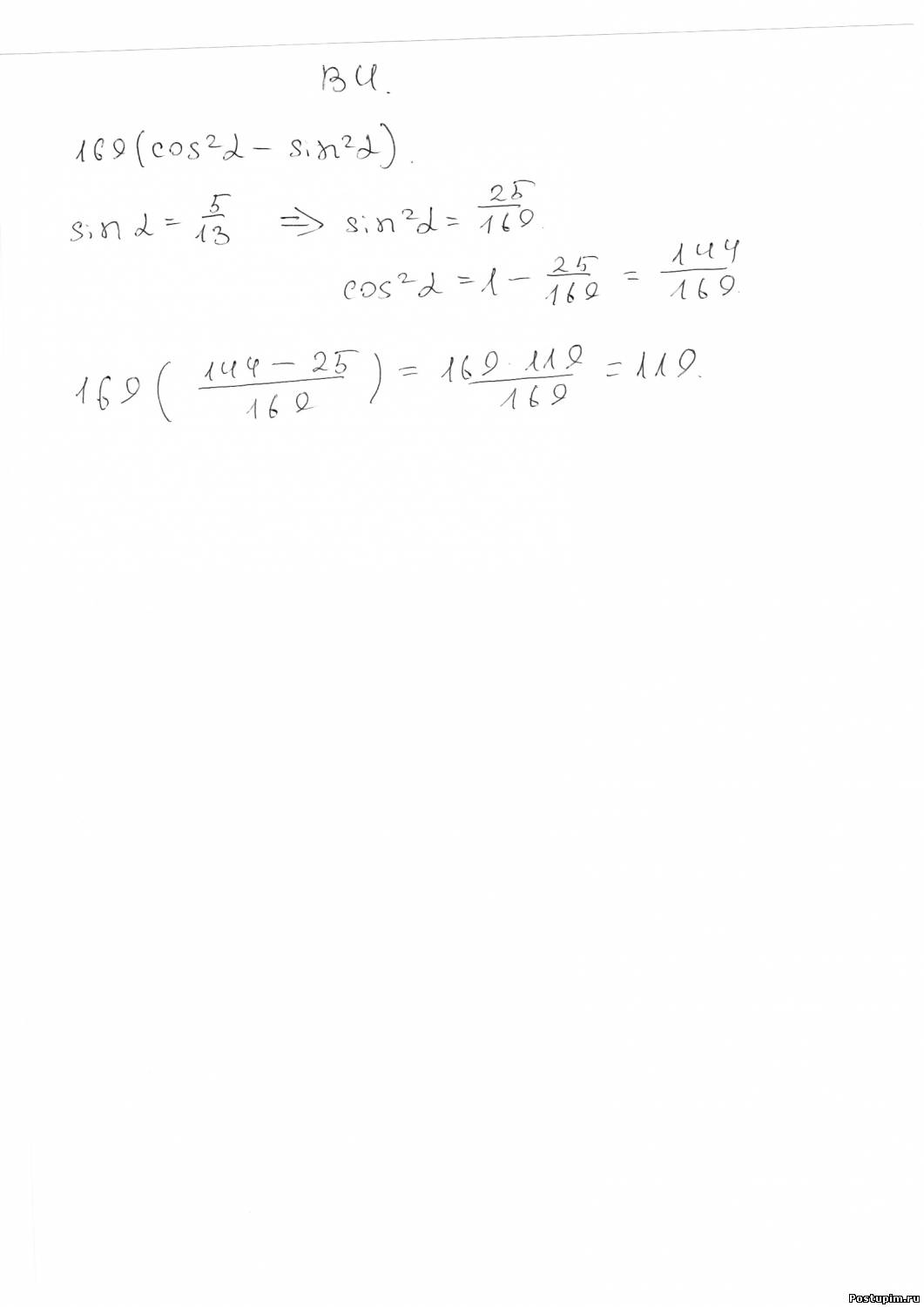
| С3
Заебало все если честно
|
| |
| |
| Galija2010 | Дата: Четверг, 2010-02-25, 3:37 PM | Сообщение # 83 |
Доцент
Группа: Проверенные
Сообщений: 691
Репутация: 160
Замечания: 0%
Статус: Offline
Город: Дюртюли
| ronr2010, Спасибо! Dims0n, Я всегда здесь, вечером жду ;-)
Студентка уже :-Р 
|
| |
| |
| ronr2010 | Дата: Четверг, 2010-02-25, 3:43 PM | Сообщение # 84 |
Академик
Группа: Проверенные
Сообщений: 1211
Репутация: 195
Замечания: 20%
Статус: Offline
| Galija2010,
Заебало все если честно
|
| |
| |
| dadadadada | Дата: Четверг, 2010-02-25, 3:47 PM | Сообщение # 85 |
Профессор
Группа: Проверенные
Сообщений: 809
Репутация: 249
Замечания: 0%
Статус: Offline
| А ведь в этих пробных некоторые задания части B не из открытого банка заданий!!!!!
|
| |
| |
| Galija2010 | Дата: Четверг, 2010-02-25, 3:48 PM | Сообщение # 86 |
Доцент
Группа: Проверенные
Сообщений: 691
Репутация: 160
Замечания: 0%
Статус: Offline
Город: Дюртюли
| ronr2010, Ну вот как всегда... Невнимательность подводит. Как стать внимательнее? А что там с В12? Я суть задачи не очень поняла. Кстати, С4 получилось?
Студентка уже :-Р 
|
| |
| |
| ronr2010 | Дата: Четверг, 2010-02-25, 3:54 PM | Сообщение # 87 |
Академик
Группа: Проверенные
Сообщений: 1211
Репутация: 195
Замечания: 20%
Статус: Offline
| Я пока с5 решаю, у меня математика как то лучше чем геометрия , все решения которые получаться выложу, а с4 наверно завтра на свежую голову порешаю. Я просто еще хотел по русскому пробник порешать.
Заебало все если честно
|
| |
| |
| Galija2010 | Дата: Четверг, 2010-02-25, 4:08 PM | Сообщение # 88 |
Доцент
Группа: Проверенные
Сообщений: 691
Репутация: 160
Замечания: 0%
Статус: Offline
Город: Дюртюли
| ronr2010, А где по русскому пробник?
Студентка уже :-Р 
|
| |
| |
| ronr2010 | Дата: Четверг, 2010-02-25, 4:26 PM | Сообщение # 89 |
Академик
Группа: Проверенные
Сообщений: 1211
Репутация: 195
Замечания: 20%
Статус: Offline
| в разделе русского
Заебало все если честно
|
| |
| |
| Galija2010 | Дата: Четверг, 2010-02-25, 4:51 PM | Сообщение # 90 |
Доцент
Группа: Проверенные
Сообщений: 691
Репутация: 160
Замечания: 0%
Статус: Offline
Город: Дюртюли
| Rocker16, А как?Добавлено (2010-02-25, 4:51 Pm) --------------------------------------------- ronr2010, можноо ссылочку? 
Студентка уже :-Р 
|
| |
| |