|
Математика!
|
|
| Снегурочка | Дата: Воскресенье, 2010-12-05, 7:41 PM | Сообщение # 196 |
Бакалавр
Группа: Проверенные
Сообщений: 122
Репутация: 62
Замечания: 0%
Статус: Offline
| вот:  Добавлено (2010-12-05, 7:41 PM) --------------------------------------------- вот, всё задание...... 
|
| |
| |
| maksimus | Дата: Воскресенье, 2010-12-05, 7:42 PM | Сообщение # 197 |
Академик
Группа: Проверенные
Сообщений: 1190
Репутация: 961
Замечания: 0%
Статус: Offline
| она не бесконечно малая.
МАТЕМАТИКA АСЯ 633432074
Очистите голову от мусора и задница сама избавится от проблем.
Интуиция - это способность головы чувствовать задницей(с)
|
| |
| |
| Снегурочка | Дата: Воскресенье, 2010-12-05, 7:44 PM | Сообщение # 198 |
Бакалавр
Группа: Проверенные
Сообщений: 122
Репутация: 62
Замечания: 0%
Статус: Offline
| maksimus, можешь сказать почему?
|
| |
| |
| maksimus | Дата: Воскресенье, 2010-12-05, 7:50 PM | Сообщение # 199 |
Академик
Группа: Проверенные
Сообщений: 1190
Репутация: 961
Замечания: 0%
Статус: Offline
| потому, что Quote Бе- сконечно малая последовательность — последовательность, предел которой равен 0. а тут он не существует, так как она знакопеременная с не равным нулю пределом модуля энного члена.
МАТЕМАТИКA АСЯ 633432074
Очистите голову от мусора и задница сама избавится от проблем.
Интуиция - это способность головы чувствовать задницей(с)
|
| |
| |
| Снегурочка | Дата: Воскресенье, 2010-12-05, 7:54 PM | Сообщение # 200 |
Бакалавр
Группа: Проверенные
Сообщений: 122
Репутация: 62
Замечания: 0%
Статус: Offline
| Quote (maksimus) Бесконечно малая последовательность — последовательность, предел которой равен 0. тут поняла......а дальше Quote (maksimus) так как она знакопеременная с не равным нулю пределом модуля энного члена. большое спасибо, щас заучу, и преподу завтра выдам .......
Сообщение отредактировал Снегурочка - Воскресенье, 2010-12-05, 7:58 PM |
| |
| |
| Снегурочка | Дата: Воскресенье, 2010-12-05, 7:58 PM | Сообщение # 201 |
Бакалавр
Группа: Проверенные
Сообщений: 122
Репутация: 62
Замечания: 0%
Статус: Offline
| maksimus, не подскажешь, как тут обстоят дела? пожалуйста
|
| |
| |
| maksimus | Дата: Воскресенье, 2010-12-05, 8:00 PM | Сообщение # 202 |
Академик
Группа: Проверенные
Сообщений: 1190
Репутация: 961
Замечания: 0%
Статус: Offline
| ну, не , не учи. учи так: она не монотонная, значит, предела не имеет вообще. Ни нулевого, ни какого. Не имеет!!!! через полчасика напишу, по какой теореме - счас не помню, чья она. Добавлено (2010-12-05, 8:00 PM) --------------------------------------------- а че там? беск будет. и фсе.
МАТЕМАТИКA АСЯ 633432074
Очистите голову от мусора и задница сама избавится от проблем.
Интуиция - это способность головы чувствовать задницей(с)
|
| |
| |
| Снегурочка | Дата: Воскресенье, 2010-12-05, 8:04 PM | Сообщение # 203 |
Бакалавр
Группа: Проверенные
Сообщений: 122
Репутация: 62
Замечания: 0%
Статус: Offline
| Quote (maksimus) ну, не , не учи. учи так: базара нет ....... Quote (maksimus) она не монотонная, значит, предела не имеет вообще. Ни нулевого, ни какого. Не имеет!!!! вот так. Достаточно. Дальше не надо. Quote (maksimus) а че там? беск будет. и фсе. а можешь написать как там беск фсё будет?
|
| |
| |
| maksimus | Дата: Воскресенье, 2010-12-05, 8:07 PM | Сообщение # 204 |
Академик
Группа: Проверенные
Сообщений: 1190
Репутация: 961
Замечания: 0%
Статус: Offline
| ну первая скобка скока будет при х=0? правильно, 1. а знаменатель куды стремится? Правильно, к нулю! Отношение ограниченной к бесконечно малой есть бесконечно большая, следовательно, ответ бесконечность. И все!
МАТЕМАТИКA АСЯ 633432074
Очистите голову от мусора и задница сама избавится от проблем.
Интуиция - это способность головы чувствовать задницей(с)
|
| |
| |
| Снегурочка | Дата: Воскресенье, 2010-12-05, 8:11 PM | Сообщение # 205 |
Бакалавр
Группа: Проверенные
Сообщений: 122
Репутация: 62
Замечания: 0%
Статус: Offline
| Quote (maksimus) ну первая скобка скока будет при х=0? правильно, 1. а знаменатель куды стремится? эт понятно.... Quote (maksimus) а знаменатель куды стремится? Правильно, к нулю! и эт ясно..... Quote (maksimus) Отношение ограниченной к бесконечно малой есть бесконечно большая, следовательно, ответ бесконечность. И все! здорово. Тебе бы преподавать..... благодарю.... maksimus, не уходи далеко, плизз......уж больно здорово объясняешь......
|
| |
| |
| maksimus | Дата: Воскресенье, 2010-12-05, 8:12 PM | Сообщение # 206 |
Академик
Группа: Проверенные
Сообщений: 1190
Репутация: 961
Замечания: 0%
Статус: Offline
| Quote Тебе бы преподавать..... 
МАТЕМАТИКA АСЯ 633432074
Очистите голову от мусора и задница сама избавится от проблем.
Интуиция - это способность головы чувствовать задницей(с)
|
| |
| |
| Снегурочка | Дата: Воскресенье, 2010-12-05, 8:14 PM | Сообщение # 207 |
Бакалавр
Группа: Проверенные
Сообщений: 122
Репутация: 62
Замечания: 0%
Статус: Offline
| о!!!
|
| |
| |
| maksimus | Дата: Воскресенье, 2010-12-05, 8:18 PM | Сообщение # 208 |
Академик
Группа: Проверенные
Сообщений: 1190
Репутация: 961
Замечания: 0%
Статус: Offline
| ну 
МАТЕМАТИКA АСЯ 633432074
Очистите голову от мусора и задница сама избавится от проблем.
Интуиция - это способность головы чувствовать задницей(с)
Сообщение отредактировал maksimus - Воскресенье, 2010-12-05, 8:19 PM |
| |
| |
| Снегурочка | Дата: Воскресенье, 2010-12-05, 8:21 PM | Сообщение # 209 |
Бакалавр
Группа: Проверенные
Сообщений: 122
Репутация: 62
Замечания: 0%
Статус: Offline
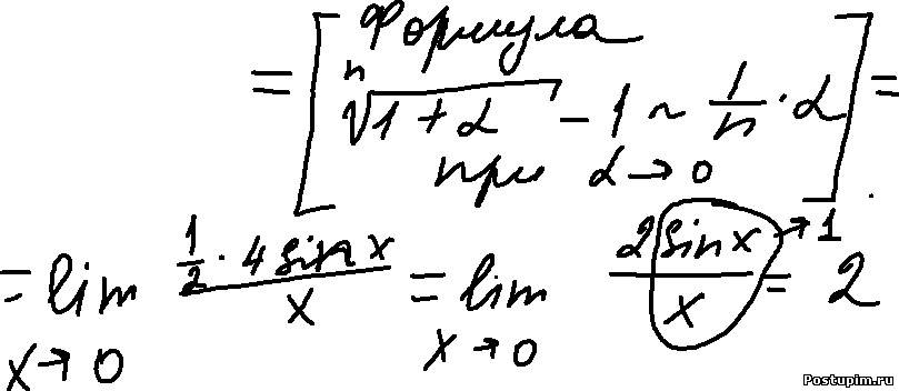
| maksimus, за формулку алаверды......а почему чё обвёл к 1 стремиться, а ?
|
| |
| |
| maksimus | Дата: Воскресенье, 2010-12-05, 8:23 PM | Сообщение # 210 |
Академик
Группа: Проверенные
Сообщений: 1190
Репутация: 961
Замечания: 0%
Статус: Offline
| ну, вдруг ты забыла, что это первый замечательный предел?
МАТЕМАТИКA АСЯ 633432074
Очистите голову от мусора и задница сама избавится от проблем.
Интуиция - это способность головы чувствовать задницей(с)
|
| |
| |