Реальные ответы ЕГЭ - Страница 2 - ФОРУМ Набор курьеров Яндекс.Еда до 3400 руб. в день

Коллективный блог
Форум




Войти
или
Зарегистрироваться
Новые сообщения · Участники · Правила форума · Поиск по форуму · RSS
Архив - только для чтения
Реальные ответы ЕГЭ
krocodil7632Дата: Вторник, 2011-06-14, 7:50 AM | Сообщение # 16
Аспирант
Группа: Проверенные
Сообщений: 304
Репутация: 77
Награды: 12
Замечания: 0%
Статус: Offline
Далее, теперь подробно

Реальный вариант №1 (04-10) ЕГЭ по Физике 2011

А1) 3
А2) 4
A3) 1
A4) 4
A5) 4
A6) 2
А9) 4
А10) 3
А11) 2
А12) ?
А13) 3
А14) 2
А15) 1
А16) 2

Добавлено (2011-06-14, 7:49 Am)
---------------------------------------------
ап

Добавлено (2011-06-14, 7:50 Am)
---------------------------------------------
ап

Прикрепления: 7093451.jpg (105.8 Kb)


Ммм...
 
krocodil7632Дата: Вторник, 2011-06-14, 7:54 AM | Сообщение # 17
Аспирант
Группа: Проверенные
Сообщений: 304
Репутация: 77
Награды: 12
Замечания: 0%
Статус: Offline
да, согласен. Но есть В где все видно

Ммм...
 
krocodil7632Дата: Вторник, 2011-06-14, 7:55 AM | Сообщение # 18
Аспирант
Группа: Проверенные
Сообщений: 304
Репутация: 77
Награды: 12
Замечания: 0%
Статус: Offline
Вариант С!
Прикрепления: 4841407.jpg (204.5 Kb)


Ммм...
 
krocodil7632Дата: Вторник, 2011-06-14, 7:56 AM | Сообщение # 19
Аспирант
Группа: Проверенные
Сообщений: 304
Репутация: 77
Награды: 12
Замечания: 0%
Статус: Offline
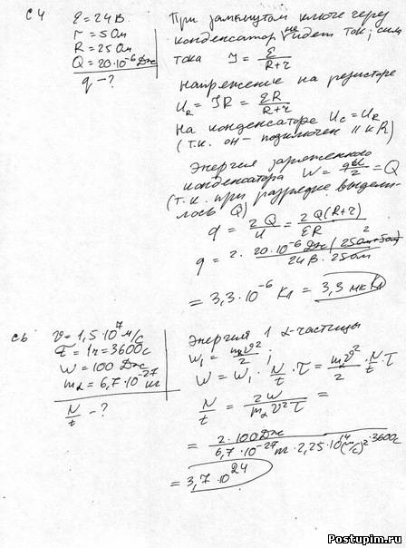
Ответы С4, С6
Прикрепления: 4080326.jpg (90.6 Kb)


Ммм...
 
krocodil7632Дата: Вторник, 2011-06-14, 7:57 AM | Сообщение # 20
Аспирант
Группа: Проверенные
Сообщений: 304
Репутация: 77
Награды: 12
Замечания: 0%
Статус: Offline
Решения С5
Прикрепления: 4391813.jpg (76.1 Kb)


Ммм...
 
krocodil7632Дата: Вторник, 2011-06-14, 8:11 AM | Сообщение # 21
Аспирант
Группа: Проверенные
Сообщений: 304
Репутация: 77
Награды: 12
Замечания: 0%
Статус: Offline
ап

Добавлено (2011-06-14, 8:07 Am)
---------------------------------------------
у кого гол аккаунт есть на депозит? У меня лимит кончается

Добавлено (2011-06-14, 8:10 Am)
---------------------------------------------
ап

Добавлено (2011-06-14, 8:11 Am)
---------------------------------------------
Ребчят, я все кинул. Теперь пишите как что решать )))


Ммм...
 
ottahellДата: Вторник, 2011-06-14, 8:18 AM | Сообщение # 22
Абитуриент
Группа: Пользователи
Сообщений: 9
Репутация: 0
Награды: 0
Замечания: 0%
Статус: Offline
у тебя ни С4, ни С6 не правильно, сейчас сделаю их

Добавлено (2011-06-14, 8:18 Am)
---------------------------------------------
C4: r=5
R=25
ЭДС=24
Находим I=ЭДС/r+R=24/30=0.8
Далее находим U=IR= 0.8*25=20
Далее ищем t, т.к q=It
Q=I^2Rt =} t=Q/I^2R=20*10^-6/0.64*25=1.25*10^-6
q=0.8*1.25*10^-6=1*10^-6=10^-6

C6: t1=1c
N=?
t=3600c
скорость=1.5*10^7
Eобщ.=100 Дж
m=6.7*10^-27

Логически придумываем формулу, придумывается несложно, учил репетитор: Eобщ=E1*N*t
E1=Eкин
Eобщ=Eкин*N*t
N=Eобщ/Eкин*t=100/15*10-13*3600=3.7*10^10

Заранее пожалуйста) можете быть уверены, С4 и С6 правильны

 
krocodil7632Дата: Вторник, 2011-06-14, 8:18 AM | Сообщение # 23
Аспирант
Группа: Проверенные
Сообщений: 304
Репутация: 77
Награды: 12
Замечания: 0%
Статус: Offline
Реальный ким №8

Ответы:

Вариант №8

А1) 4
А2) 4
А3) 3
A4) 2
A5) 3
A6) 2
A7) 1
A8) 4
A9) 1
A10) 1
A11) 3
A12) 1
A14) 4
A15) 1
A17) 3
A18) 3
A19) 1
A20) 1
A21) 2
A22) 2
A23) 2

B1) 313 - исправлено
B3) 24 - исправлено

Теперь сами файлы!
Прикрепления: 1459781.jpg (211.1 Kb) · 4877117.jpg (204.8 Kb)


Ммм...

Сообщение отредактировал krocodil7632 - Вторник, 2011-06-14, 8:53 AM
 
krocodil7632Дата: Вторник, 2011-06-14, 8:20 AM | Сообщение # 24
Аспирант
Группа: Проверенные
Сообщений: 304
Репутация: 77
Награды: 12
Замечания: 0%
Статус: Offline
Это А13-А16 и А17-А20

8 вариант
Прикрепления: 4014512.jpg (200.1 Kb) · 7653120.jpg (190.1 Kb)


Ммм...
 
krocodil7632Дата: Вторник, 2011-06-14, 8:21 AM | Сообщение # 25
Аспирант
Группа: Проверенные
Сообщений: 304
Репутация: 77
Награды: 12
Замечания: 0%
Статус: Offline
Это А21-23 и 24-25А

8 вариант
Прикрепления: 1127214.jpg (183.4 Kb) · 8314536.jpg (192.7 Kb)


Ммм...
 
krocodil7632Дата: Вторник, 2011-06-14, 8:21 AM | Сообщение # 26
Аспирант
Группа: Проверенные
Сообщений: 304
Репутация: 77
Награды: 12
Замечания: 0%
Статус: Offline
Это В1-2-3

8 вариант
Прикрепления: 3442904.jpg (212.7 Kb) · 4030184.jpg (130.6 Kb)


Ммм...
 
krocodil7632Дата: Вторник, 2011-06-14, 8:22 AM | Сообщение # 27
Аспирант
Группа: Проверенные
Сообщений: 304
Репутация: 77
Награды: 12
Замечания: 0%
Статус: Offline
Это В4

8 вариант
Прикрепления: 5889616.jpg (185.1 Kb)


Ммм...
 
KaDeaTДата: Вторник, 2011-06-14, 8:22 AM | Сообщение # 28
Нобелевский лауреат
Группа: Проверенные
Сообщений: 11169
Репутация: 1446
Награды: 136
Замечания: 0%
Статус: Offline
Quote (krocodil7632)
Реальный ким №8

Ответы:

Вариант №8

А1) 4
А2) 4
А3) 3
A4) 2
A5) 3
A6) 2
A7) 1
A8) 4
A9) 1
A10) 1
A11) 3
A12) 1
A14) 4
A15) 1
A17) 3
A18) 3
A19) 1
A20) 1
A21) 2
A22) 2
A23) 2

B1) 312
B3) 14
B4) 23

Проверил выборочно 2,6 и 12 тесты ответы правильные! =))


Обучение программированию

Сообщение отредактировал KaDeaT - Вторник, 2011-06-14, 8:23 AM
 
krocodil7632Дата: Вторник, 2011-06-14, 8:25 AM | Сообщение # 29
Аспирант
Группа: Проверенные
Сообщений: 304
Репутация: 77
Награды: 12
Замечания: 0%
Статус: Offline
Ну, я же не спамер.

Теперь решаем все это!

Добавлено (2011-06-14, 8:25 Am)
---------------------------------------------
Сейчас буде Вариант №6


Ммм...
 
KaDeaTДата: Вторник, 2011-06-14, 8:28 AM | Сообщение # 30
Нобелевский лауреат
Группа: Проверенные
Сообщений: 11169
Репутация: 1446
Награды: 136
Замечания: 0%
Статус: Offline
вариант 8

B4
а-2
б-4


Обучение программированию

Сообщение отредактировал KaDeaT - Вторник, 2011-06-14, 8:28 AM
 
Поиск: