задачкО - Страница 3 - ФОРУМ Набор курьеров Яндекс.Еда до 3400 руб. в день

Коллективный блог
Форум




Войти
или
Зарегистрироваться
Новые сообщения · Участники · Правила форума · Поиск по форуму · RSS
  • Страница 3 из 3
  • «
  • 1
  • 2
  • 3
Архив - только для чтения
задачкО
arena55Дата: Понедельник, 2012-06-11, 1:09 PM | Сообщение # 31
Доцент
Группа: Проверенные
Сообщений: 578
Репутация: 95
Награды: 5
Замечания: 0%
Статус: Offline
MEM, surprised я б сказал, сложноватое решения для А7, мое лучше подходит, просто объяснить не могу, ну только если так:
при движении пылинка будет приближаться, ускорение будет увеличиваться


кап кап кап из ясных глаз Маруси капали капали прямо на копье
 
HellkoДата: Понедельник, 2012-06-11, 1:17 PM | Сообщение # 32
Академик
Группа: Проверенные
Сообщений: 1340
Репутация: 362
Награды: 26
Замечания: 0%
Статус: Offline
Quote (arena55)
MEM, я б сказал, сложноватое решения для А7, мое лучше подходит, просто объяснить не могу, ну только если так: при движении пылинка будет приближаться, ускорение будет увеличиваться

Oo
Он и привел решение не?
пылинка ближе - сила больше - ускорение больше


Егэ 2012:
М: 92
Ф: 90
 
fandorinДата: Понедельник, 2012-06-11, 7:41 PM | Сообщение # 33
Бакалавр
Группа: Проверенные
Сообщений: 103
Репутация: 0
Награды: 0
Замечания: 0%
Статус: Offline
Ещё задача: http://ege.yandex.ru/physics/question/A14/4
 
HellkoДата: Понедельник, 2012-06-11, 7:52 PM | Сообщение # 34
Академик
Группа: Проверенные
Сообщений: 1340
Репутация: 362
Награды: 26
Замечания: 0%
Статус: Offline
Quote (fandorin)

возьми производную.

Добавлено (2012-06-11, 7:52 PM)
---------------------------------------------
классное задание: http://ege.yandex.ru/physics/question/A14/6


Егэ 2012:
М: 92
Ф: 90
 
gezczuДата: Вторник, 2012-06-12, 0:30 AM | Сообщение # 35
Почетный академик
Группа: Проверенные
Сообщений: 2696
Репутация: 1438
Награды: 116
Замечания: 0%
Статус: Offline
Город: Москва
Quote (Hellko)
классное задание:

Почему 0 получается? Коэффициент трансформации равен 2...


Мехмат МГУ 1 курс
 
tan-chekДата: Вторник, 2012-06-12, 0:56 AM | Сообщение # 36
Магистр
Группа: Проверенные
Сообщений: 244
Репутация: 115
Награды: 30
Замечания: 0%
Статус: Offline
Город: Самара
Трансформатор на постоянном напряжении не работает!!! Он трансформирует только переменный ток за счет явления эл.м.индукции.
 
HellkoДата: Вторник, 2012-06-12, 1:01 AM | Сообщение # 37
Академик
Группа: Проверенные
Сообщений: 1340
Репутация: 362
Награды: 26
Замечания: 0%
Статус: Offline
Quote (gezczu)
Почему 0 получается? Коэффициент трансформации равен 2...

катушка на постоянном токе = кусок провода.


Егэ 2012:
М: 92
Ф: 90
 
linafom16Дата: Вторник, 2012-06-12, 8:48 AM | Сообщение # 38
Бакалавр
Группа: Проверенные
Сообщений: 150
Репутация: 91
Награды: 0
Замечания: 0%
Статус: Offline
Город: Мегион
Два источника испускают электромагнитные волны частотой c одинаковыми начальными фазами. Максимум интерференции будет наблюдаться в точке пространства, для которой разность хода волн от источников равна:

Кто-нибудь может понятно объяснить про максимум и минимум интерференции? Сколько учебников ни прочитала, все равно не понимаю...(


ЕГЭ 2012
русский язык(92)
математика(68)
физика(55)
РМФ=215
УрФУ, ИРИТ-РТФ, ИФКТИСС! Бюджет))
 
fandorinДата: Вторник, 2012-06-12, 9:50 AM | Сообщение # 39
Бакалавр
Группа: Проверенные
Сообщений: 103
Репутация: 0
Награды: 0
Замечания: 0%
Статус: Offline
Помогите, пожалуйста, электростатика: http://ege.yandex.ru/physics/question/A13/5 и http://ege.yandex.ru/physics/question/A13/6
 
prm2008Дата: Вторник, 2012-06-12, 1:21 PM | Сообщение # 40
Профессор
Группа: Проверенные
Сообщений: 815
Репутация: 1199
Награды: 64
Замечания: 0%
Статус: Offline
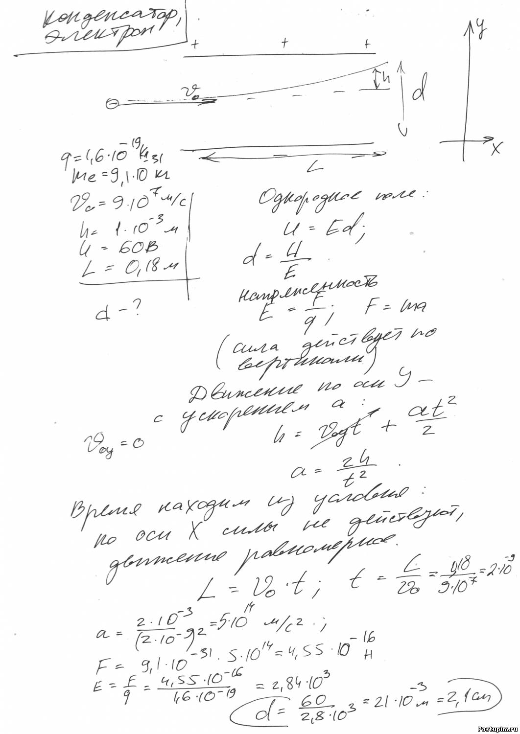
Запишу основные формулы, остальное, думаю сам поймешь.
Электрон двигается в горизонтальном направлении с начальной скоростью. Время движения: t=L/Vo
за это время в вертикальном направлении он смещается на:
h=a*t^2/2 движение равноускоренное с нулевой начальной скоростью.
2 закон Ньютона: ma=F; ma=eE;
Ускорение a=eE/m
заряд и масса электрона величины табличные. Напряженность связана с напряжением:
E=U/d
Остальное дело техники smile


...чтобы оставаться на одном месте нужно все время двигаться вперед...
 
tan-chekДата: Вторник, 2012-06-12, 1:56 PM | Сообщение # 41
Магистр
Группа: Проверенные
Сообщений: 244
Репутация: 115
Награды: 30
Замечания: 0%
Статус: Offline
Город: Самара
Ну, это вообще-то электродинамика, а не статика smile .
1)Если магнит вставляем в катушку, то по правилу Ленца в катушке возникает ток, у которого магнитное поле препятствует изменению внешнего (т.е. направлено противоположно полю магнита, вверх). Тогда по правилу буравчика ток в катушке против часовой стрелки (если смотреть сверху), т.е. в проводнике от В к А.


Сообщение отредактировал tan-chek - Вторник, 2012-06-12, 2:23 PM
 
fandorinДата: Вторник, 2012-06-12, 3:25 PM | Сообщение # 42
Бакалавр
Группа: Проверенные
Сообщений: 103
Репутация: 0
Награды: 0
Замечания: 0%
Статус: Offline
prm2008, не понятно, куда делось Vo и что за формула eE?
 
HellkoДата: Вторник, 2012-06-12, 4:27 PM | Сообщение # 43
Академик
Группа: Проверенные
Сообщений: 1340
Репутация: 362
Награды: 26
Замечания: 0%
Статус: Offline
Quote (linafom16)
Два источника испускают электромагнитные волны частотой c одинаковыми начальными фазами. Максимум интерференции будет наблюдаться в точке пространства, для которой разность хода волн от источников равна: Кто-нибудь может понятно объяснить про максимум и минимум интерференции? Сколько учебников ни прочитала, все равно не понимаю...

максимум будет когда волны приходят в одной фазе и как бы усиливаются.
А минимум будет когда волны приходят в противофазе и гасят друг друга. Так вот тут ответ лямбда*k где k целое число.

Добавлено (2012-06-12, 4:27 PM)
---------------------------------------------
вот типа в одной фазе волны с амплитудой 1 и 1 получается 2.
http://www.wolframalpha.com/input/?i=plot+sinx+and+sinx+and+2sinx
а вот типа в противофазе с одинаковой амплитудой
http://www.wolframalpha.com/input....2Bpi%29
их сумма получается 0.


Егэ 2012:
М: 92
Ф: 90
 
tan-chekДата: Вторник, 2012-06-12, 4:40 PM | Сообщение # 44
Магистр
Группа: Проверенные
Сообщений: 244
Репутация: 115
Награды: 30
Замечания: 0%
Статус: Offline
Город: Самара
fandorin, посмотрите рисунок.
Прикрепления: 4725449.jpg (115.1 Kb)
 
fandorinДата: Вторник, 2012-06-12, 7:46 PM | Сообщение # 45
Бакалавр
Группа: Проверенные
Сообщений: 103
Репутация: 0
Награды: 0
Замечания: 0%
Статус: Offline
tan-chek, спасибо!
Что же они все на яндексе такие "простые": http://ege.yandex.ru/physics/question/A21/8 http://ege.yandex.ru/physics/question/A14/7
 
  • Страница 3 из 3
  • «
  • 1
  • 2
  • 3
Поиск: