а пробные варианты есть у кого? - Страница 3 - ФОРУМ Набор курьеров Яндекс.Еда до 3400 руб. в день

Коллективный блог
Форум




Войти
или
Зарегистрироваться
Новые сообщения · Участники · Правила форума · Поиск по форуму · RSS
  • Страница 3 из 3
  • «
  • 1
  • 2
  • 3
Архив - только для чтения
а пробные варианты есть у кого?
prm2008Дата: Понедельник, 2012-06-11, 5:04 PM | Сообщение # 31
Профессор
Группа: Проверенные
Сообщений: 815
Репутация: 1199
Награды: 64
Замечания: 0%
Статус: Offline
Quote (sheriff)
поясни как решала smile
я через сопротивление и графики


http://ucheba.pro/viewtop....p178594


...чтобы оставаться на одном месте нужно все время двигаться вперед...
 
tan-chekДата: Понедельник, 2012-06-11, 5:38 PM | Сообщение # 32
Магистр
Группа: Проверенные
Сообщений: 244
Репутация: 115
Награды: 30
Замечания: 0%
Статус: Offline
Город: Самара
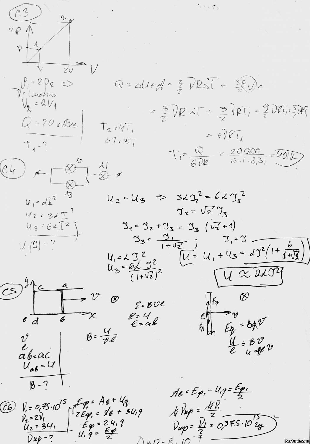
sheriff, прикрепляю решение С3-С6
Прикрепления: 7104737.jpg (119.8 Kb)
 
DoctorKrakerДата: Понедельник, 2012-06-11, 6:22 PM | Сообщение # 33
Студент
Группа: Пользователи
Сообщений: 88
Репутация: 33
Награды: 5
Замечания: 0%
Статус: Offline
tan-chek, А почему в С3 работа газа A = 3/2 pV? Если обычно работа у нас ищётся по формуле A= p*dV...

ЕГЭ 2012: connect on
Информатика[76] не кошерно, но пойдёт:)
Русский язык[72] Шикарно!
Математика[72]
Физика[79]
 
prm2008Дата: Понедельник, 2012-06-11, 6:46 PM | Сообщение # 34
Профессор
Группа: Проверенные
Сообщений: 815
Репутация: 1199
Награды: 64
Замечания: 0%
Статус: Offline
DoctorKraker, в данном случае работа находится как площадь под графиком процесса. (В осях давление/объем) А твою формулу можно применять для изобарного процесса.

...чтобы оставаться на одном месте нужно все время двигаться вперед...

Сообщение отредактировал prm2008 - Понедельник, 2012-06-11, 6:49 PM
 
mirumirДата: Понедельник, 2012-06-11, 10:20 PM | Сообщение # 35
Бакалавр
Группа: Проверенные
Сообщений: 147
Репутация: 32
Награды: 1
Замечания: 0%
Статус: Offline
Город: Волгоград
prm2008, почему тогда на графике ты пометил 2p и 2v, ведь в условии сказано только, что плотность уменьшилась в два раза...

ЕГЭ 2012:
Русский - 73
Математика - 72
Физика - 79
Итого - 224
 
DoctorKrakerДата: Понедельник, 2012-06-11, 10:23 PM | Сообщение # 36
Студент
Группа: Пользователи
Сообщений: 88
Репутация: 33
Награды: 5
Замечания: 0%
Статус: Offline
tan-chek, И ещё вопрос) Вы по ходу решения заменяете работу на vRT1, а почему именно T1, а не T2 или dT? eek

ЕГЭ 2012: connect on
Информатика[76] не кошерно, но пойдёт:)
Русский язык[72] Шикарно!
Математика[72]
Физика[79]
 
tan-chekДата: Вторник, 2012-06-12, 0:31 AM | Сообщение # 37
Магистр
Группа: Проверенные
Сообщений: 244
Репутация: 115
Награды: 30
Замечания: 0%
Статус: Offline
Город: Самара
mirumir, если плотность уменьшилась в 2 раза, а масса не менялась, то значит объем увеличился в 2 раза. А давление пропорционально объему, значит тоже увеличилось в 2 раза.
DoctorKraker, Я не работу заменяю на vRT1, а рV. По уравнению состояния идеального газа рV=vRT1. Аналогично, в точке 2 будет 2р2V=vRT2, из чего видно, что Т2=4Т1. А работа численно равна площади фигуры под графиком, т.е.площади трапеции: А=(р+2р)V/2=3рV/2.


Сообщение отредактировал tan-chek - Вторник, 2012-06-12, 0:31 AM
 
mirumirДата: Вторник, 2012-06-12, 12:17 PM | Сообщение # 38
Бакалавр
Группа: Проверенные
Сообщений: 147
Репутация: 32
Награды: 1
Замечания: 0%
Статус: Offline
Город: Волгоград
tan-chek, понятно, я просто невнимательно прочитал условие)) спасибо!

ЕГЭ 2012:
Русский - 73
Математика - 72
Физика - 79
Итого - 224
 
kafkaДата: Вторник, 2012-06-12, 12:27 PM | Сообщение # 39
Абитуриент
Группа: Пользователи
Сообщений: 13
Репутация: 16
Награды: 0
Замечания: 0%
Статус: Offline
Город: Челябинск
Ребят, а сколько времени на экзамен отводится?
 
РиДата: Вторник, 2012-06-12, 12:59 PM | Сообщение # 40
Аспирант
Группа: Проверенные
Сообщений: 327
Репутация: 28
Награды: 0
Замечания: 0%
Статус: Offline
Город: Уфа
kafka +- 4 часа

ЛЭТИ ФКТИ каф. ВТ
Если есть вопросы по универу - обращайтесь.
 
kafkaДата: Вторник, 2012-06-12, 1:28 PM | Сообщение # 41
Абитуриент
Группа: Пользователи
Сообщений: 13
Репутация: 16
Награды: 0
Замечания: 0%
Статус: Offline
Город: Челябинск
Ри, Спасибо!
 
olchikaДата: Вторник, 2012-06-12, 1:28 PM | Сообщение # 42
Абитуриент
Группа: Пользователи
Сообщений: 12
Репутация: 0
Награды: 0
Замечания: 0%
Статус: Offline
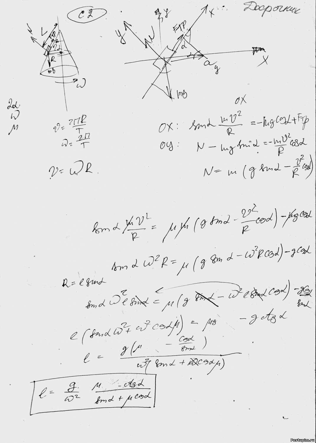
Пожалуйста, объясните как решать это с2.
.
 
tan-chekДата: Вторник, 2012-06-12, 2:12 PM | Сообщение # 43
Магистр
Группа: Проверенные
Сообщений: 244
Репутация: 115
Награды: 30
Замечания: 0%
Статус: Offline
Город: Самара
Из досрочника?
Прикрепления: 9544755.jpg (108.5 Kb)
 
olchikaДата: Вторник, 2012-06-12, 2:50 PM | Сообщение # 44
Абитуриент
Группа: Пользователи
Сообщений: 12
Репутация: 0
Награды: 0
Замечания: 0%
Статус: Offline
о, спасибо
 
  • Страница 3 из 3
  • «
  • 1
  • 2
  • 3
Поиск: