Помогите решить пробник по математике - Страница 5 - ФОРУМ Набор курьеров Яндекс.Еда до 3400 руб. в день

Коллективный блог
Форум




Войти
или
Зарегистрироваться
Новые сообщения · Участники · Правила форума · Поиск по форуму · RSS
Помогите решить пробник по математике
kiska_wowДата: Четверг, 2009-04-09, 7:00 PM | Сообщение # 61
Профессор
Группа: Проверенные
Сообщений: 752
Репутация: 127
Награды: 23
Замечания: 0%
Статус: Offline
вот
Прикрепления: 1890457.jpg (446.1 Kb)
 
gorod1Дата: Четверг, 2009-04-09, 7:16 PM | Сообщение # 62
Студент
Группа: Пользователи
Сообщений: 62
Репутация: 13
Награды: 0
Замечания: 0%
Статус: Offline
kiska_wow,
я так же решал....получаестя 3y=85 y=28,333
 
gorod1Дата: Четверг, 2009-04-09, 7:22 PM | Сообщение # 63
Студент
Группа: Пользователи
Сообщений: 62
Репутация: 13
Награды: 0
Замечания: 0%
Статус: Offline
kiska_wow,
мы приводим к общему знаменателю...он равен 175..да..
и получается 90-2y+5y+175
 
kiska_wowДата: Четверг, 2009-04-09, 7:27 PM | Сообщение # 64
Профессор
Группа: Проверенные
Сообщений: 752
Репутация: 127
Награды: 23
Замечания: 0%
Статус: Offline
Quote (gorod1)
90

45,5*2=91


Сообщение отредактировал kiska_wow - Четверг, 2009-04-09, 7:28 PM
 
gorod1Дата: Четверг, 2009-04-09, 7:30 PM | Сообщение # 65
Студент
Группа: Пользователи
Сообщений: 62
Репутация: 13
Награды: 0
Замечания: 0%
Статус: Offline
блин...вот это я ступил))))....и сижу парюсь biggrin
 
kiska_wowДата: Четверг, 2009-04-09, 7:32 PM | Сообщение # 66
Профессор
Группа: Проверенные
Сообщений: 752
Репутация: 127
Награды: 23
Замечания: 0%
Статус: Offline
gorod1, ага wink
 
gorod1Дата: Пятница, 2009-04-10, 0:04 AM | Сообщение # 67
Студент
Группа: Пользователи
Сообщений: 62
Репутация: 13
Награды: 0
Замечания: 0%
Статус: Offline
кто нибудь может предоставить решение C1
Прикрепления: 0943892.jpg (15.4 Kb)
 
kairullinДата: Пятница, 2009-04-10, 12:49 PM | Сообщение # 68
Аспирант
Группа: Проверенные
Сообщений: 461
Репутация: 62
Награды: 11
Замечания: 0%
Статус: Offline
Город: Оренбургская обл., п. Гранитный ---->Питер
вот
Прикрепления: 4053615.jpg (154.1 Kb)


Русский[77]
Математика[68]
Физика[72]
Студент СПбГЭТУ "ЛЭТИ"
Факультет электроники
4 курс


Сообщение отредактировал kairullin - Пятница, 2009-04-10, 12:49 PM
 
gorod1Дата: Пятница, 2009-04-10, 2:17 PM | Сообщение # 69
Студент
Группа: Пользователи
Сообщений: 62
Репутация: 13
Награды: 0
Замечания: 0%
Статус: Offline
спасибо....просто завтра пробник по математике

Добавлено (2009-04-10, 2:17 Pm)
---------------------------------------------
если не сложно напиши решение C2

 
gorod1Дата: Пятница, 2009-04-10, 2:18 PM | Сообщение # 70
Студент
Группа: Пользователи
Сообщений: 62
Репутация: 13
Награды: 0
Замечания: 0%
Статус: Offline
вот
Прикрепления: 4124400.jpg (12.6 Kb)
 
kairullinДата: Пятница, 2009-04-10, 2:36 PM | Сообщение # 71
Аспирант
Группа: Проверенные
Сообщений: 461
Репутация: 62
Награды: 11
Замечания: 0%
Статус: Offline
Город: Оренбургская обл., п. Гранитный ---->Питер
Держи
Прикрепления: 2069185.jpg (174.7 Kb)


Русский[77]
Математика[68]
Физика[72]
Студент СПбГЭТУ "ЛЭТИ"
Факультет электроники
4 курс
 
gorod1Дата: Пятница, 2009-04-10, 4:02 PM | Сообщение # 72
Студент
Группа: Пользователи
Сообщений: 62
Репутация: 13
Награды: 0
Замечания: 0%
Статус: Offline
kairullin,
можешь проверить вот это задание...у меня получился ответ 1
Прикрепления: 4311781.jpg (46.6 Kb)
 
kairullinДата: Пятница, 2009-04-10, 5:43 PM | Сообщение # 73
Аспирант
Группа: Проверенные
Сообщений: 461
Репутация: 62
Награды: 11
Замечания: 0%
Статус: Offline
Город: Оренбургская обл., п. Гранитный ---->Питер
Правильно

Русский[77]
Математика[68]
Физика[72]
Студент СПбГЭТУ "ЛЭТИ"
Факультет электроники
4 курс
 
gorod1Дата: Суббота, 2009-04-11, 3:19 PM | Сообщение # 74
Студент
Группа: Пользователи
Сообщений: 62
Репутация: 13
Награды: 0
Замечания: 0%
Статус: Offline
ребят кто сможет решить?
 
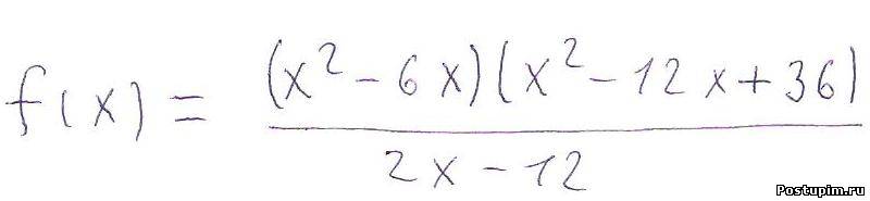
gorod1Дата: Суббота, 2009-04-11, 3:20 PM | Сообщение # 75
Студент
Группа: Пользователи
Сообщений: 62
Репутация: 13
Награды: 0
Замечания: 0%
Статус: Offline
найти экстремумы вроде
Прикрепления: 5994075.jpg (11.7 Kb)
 
Поиск: