Решаем 1 вариант, который должен БЫЛ быть на ЕГЭ2013 - Страница 12 - ФОРУМ Набор курьеров Яндекс.Еда до 3400 руб. в день

Коллективный блог
Форум




Войти
или
Зарегистрироваться
Новые сообщения · Участники · Правила форума · Поиск по форуму · RSS
Архив - только для чтения
Решаем 1 вариант, который должен БЫЛ быть на ЕГЭ2013
CherniggaДата: Суббота, 2013-06-01, 5:07 PM | Сообщение # 166
Абитуриент
Группа: Пользователи
Сообщений: 2
Репутация: 0
Награды: 0
Замечания: 0%
Статус: Offline
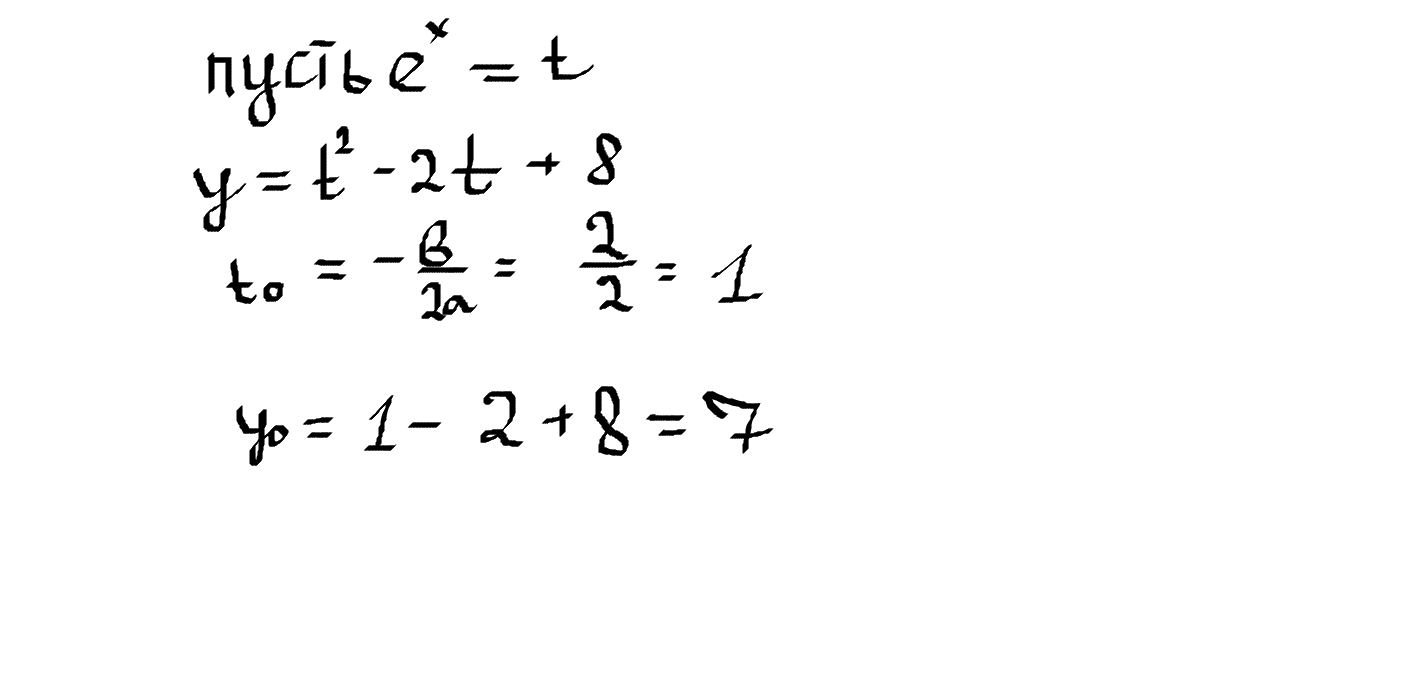
как решать из этого варианта В14? производная получилась e^2x-e^x
Прикрепления: 9713409.png (8.1 Kb)
 
geshaДата: Суббота, 2013-06-01, 5:12 PM | Сообщение # 167
Студент
Группа: Пользователи
Сообщений: 44
Репутация: 9
Награды: 1
Замечания: 0%
Статус: Offline
Цитата (gezczu)
ну, вроде первые 2 случая можно тупо проверить за 2 минуты. Над третьим еще не думала.

сможете объяснить потом ход решения, если не трудно?
 
horoschajaДата: Суббота, 2013-06-01, 5:19 PM | Сообщение # 168
Абитуриент
Группа: Пользователи
Сообщений: 8
Репутация: 0
Награды: 0
Замечания: 0%
Статус: Offline
Что-то решала-решала С3, выходит "нет решения". У кого что получилось?

люблю математику и физику))
 
tres52Дата: Суббота, 2013-06-01, 5:19 PM | Сообщение # 169
Абитуриент
Группа: Пользователи
Сообщений: 8
Репутация: 0
Награды: 0
Замечания: 0%
Статус: Offline
Chernigga,
Прикрепления: 3876678.png (35.7 Kb)
 
ledi_mДата: Суббота, 2013-06-01, 5:26 PM | Сообщение # 170
Абитуриент
Группа: Пользователи
Сообщений: 9
Репутация: 1
Награды: 0
Замечания: 0%
Статус: Offline
nfnshakov, все ответы, которые написаны к первому варианту - верные. Кросавчег.
И решение В14 теперь тоже верное.
 
gezczuДата: Суббота, 2013-06-01, 5:38 PM | Сообщение # 171
Почетный академик
Группа: Проверенные
Сообщений: 2696
Репутация: 1438
Награды: 116
Замечания: 0%
Статус: Offline
Город: Москва
gesha, смотри, сумма всех целых чисел от 1 до 13 равна 91. Если на последнем месте стоит 5, то (91 - 5) должно делиться на 5, а это не так.

Насчет второго пункта я думала так: 
Но задумалась, надо ли проверять не только, что последнее число является делителем, но и предыдущие перед ним тоже делят сумму впереди стоящих. И вот теперь даже не знаю, как правильно...


Мехмат МГУ 1 курс
 
tres52Дата: Суббота, 2013-06-01, 5:46 PM | Сообщение # 172
Абитуриент
Группа: Пользователи
Сообщений: 8
Репутация: 0
Награды: 0
Замечания: 0%
Статус: Offline
gezczu, конечно нужно) иначе ты не запишешь этот ряд
 
gezczuДата: Суббота, 2013-06-01, 5:52 PM | Сообщение # 173
Почетный академик
Группа: Проверенные
Сообщений: 2696
Репутация: 1438
Награды: 116
Замечания: 0%
Статус: Offline
Город: Москва
tres52, а, ок, спасибо! Тогда все усложняется. Надо будет думать. Прямо интересно стало)
Ну, в любом случае, 1 балл за первый пункт отхватить можно.


Мехмат МГУ 1 курс
 
horoschajaДата: Суббота, 2013-06-01, 6:01 PM | Сообщение # 174
Абитуриент
Группа: Пользователи
Сообщений: 8
Репутация: 0
Награды: 0
Замечания: 0%
Статус: Offline
Цитата (horoschaja)
Что-то решала-решала С3, выходит "нет решения". У кого что получилось?
Ан-нет, есть решение!
Прикрепления: 9854397.jpg (166.5 Kb)


люблю математику и физику))
 
lenka199518Дата: Суббота, 2013-06-01, 6:11 PM | Сообщение # 175
Абитуриент
Группа: Пользователи
Сообщений: 1
Репутация: 0
Награды: 0
Замечания: 0%
Статус: Offline
3aMe4aTeJIbHo, привет..а это не точные задания на егэ?
 
Agronom4everДата: Суббота, 2013-06-01, 6:52 PM | Сообщение # 176
Абитуриент
Группа: Пользователи
Сообщений: 1
Репутация: 0
Награды: 0
Замечания: 0%
Статус: Offline
Город: Санкт-Петербург
1 вариант (http://vk.com/doc36457072_188127676?hash=2d07509867395b4cf6&dl=a570517d18c9c9f8fd)
С2 какой ответ?
Прикрепления: 6899285.png (6.6 Kb)
 
GandalfДата: Суббота, 2013-06-01, 6:55 PM | Сообщение # 177
Абитуриент
Группа: Пользователи
Сообщений: 2
Репутация: 0
Награды: 0
Замечания: 0%
Статус: Offline
Это точно будет? на егэ?
 
BokunokotovasuretteДата: Суббота, 2013-06-01, 7:20 PM | Сообщение # 178
Абитуриент
Группа: Пользователи
Сообщений: 8
Репутация: -1
Награды: 3
Замечания: 0%
Статус: Offline
Город: Москва
Продам настоящие ответы к экзаменам. В наличии КИМы и ответы на них. Обращайтесь в скайп victoria-bessonova
 
GeniusManДата: Воскресенье, 2013-06-02, 11:28 AM | Сообщение # 179
Студент
Группа: Пользователи
Сообщений: 93
Репутация: 10
Награды: 0
Замечания: 0%
Статус: Offline
Город: Подольск
Ребята, помогите! Как решать B4 первый вариант? У меня ответ полкчился 1190, ведь
1) 300 + 70*14 = 1280
2) 0 + 70*17 = 1190
3) 120 + 70*16 = 1240

Но тогда я не понимаю, зачем во втором столбике давны продолжительность и стоимость мин. поездки (мы же едем больше 15 и 20 мин, да?)


ЕГЭ 2014:
- Русский язык [79]
- Математика [64]
- Английский язык [84]
- Обществознание [79]


Сообщение отредактировал GeniusMan - Воскресенье, 2013-06-02, 11:56 AM
 
BenderfffДата: Воскресенье, 2013-06-02, 11:54 AM | Сообщение # 180
Абитуриент
Группа: Пользователи
Сообщений: 2
Репутация: 0
Награды: 0
Замечания: 0%
Статус: Offline
Город: Нижний Новгород
как В6 получили скажите плиз?

Бэнд
 
Поиск: