ЕГЭ по математике - 2008 - Страница 112 - ФОРУМ Набор курьеров Яндекс.Еда до 3400 руб. в день

Коллективный блог
Форум




Войти
или
Зарегистрироваться
Новые сообщения · Участники · Правила форума · Поиск по форуму · RSS
Архив - только для чтения
ЕГЭ по математике - 2008
mrykovДата: Понедельник, 2008-06-02, 9:58 PM | Сообщение # 1666
Бакалавр
Группа: Пользователи
Сообщений: 143
Репутация: 7
Награды: 0
Замечания: 0%
Статус: Offline
Город: Москва
Quote (menphis)
mrykov, системы правильно записал, но факт в ответе "a" не должно быть.

Ну фиг знает. Почему ты так думаешь? Меня просят при любом целом a решить. Ответы при любом а подходят)
 
SteelManДата: Понедельник, 2008-06-02, 9:59 PM | Сообщение # 1667
Аспирант
Группа: Проверенные
Сообщений: 454
Репутация: 23
Награды: 1
Замечания: 20%
Статус: Offline
Город: Новосибирск
menphis, А как без них то? Эти "а" любые целые числа, как их исключить?

 
menphisДата: Понедельник, 2008-06-02, 10:00 PM | Сообщение # 1668
Бакалавр
Группа: Пользователи
Сообщений: 164
Репутация: 11
Награды: 0
Замечания: 0%
Статус: Offline
mrykov, слишком просто)
 
DaimondДата: Понедельник, 2008-06-02, 10:02 PM | Сообщение # 1669
Аспирант
Группа: Проверенные
Сообщений: 491
Репутация: 34
Награды: 0
Замечания: 0%
Статус: Offline
Город: Ейск
В С3 с синусами атвет !!пк!!! там вродь сё проста делается..

Дайте мне в руку шашку, и я устрою революцию!!!

P.S. Бабры вперёт!!!!))
 
mrykovДата: Понедельник, 2008-06-02, 10:05 PM | Сообщение # 1670
Бакалавр
Группа: Пользователи
Сообщений: 143
Репутация: 7
Награды: 0
Замечания: 0%
Статус: Offline
Город: Москва
Quote (menphis)
mrykov, слишком просто)

Меня смущает только случай с a=0, ведь ноль за целое число считается =/
 
LeRoyДата: Понедельник, 2008-06-02, 10:06 PM | Сообщение # 1671
Абитуриент
Группа: Пользователи
Сообщений: 6
Репутация: 1
Награды: 0
Замечания: 0%
Статус: Offline
Город: Тюменская область, Ишим
даааа.... ребят я за вас рад, почему я дуак неучился... вы ещё с4 решаете, я ток часть а и ервые 3 б, за 7минут решаю правилно... и всё вроде остаётся ещё 3часа 53минуты.... и чё делать))) ггг

русский-хз
алгебра-хз
как проверят ЕГЭ я буду жить?-хз
ФСБ, Bagman:
"главно чтоб не 2,
если 3 гуляй рванина,
4 - шли мне пива!"
 
menphisДата: Понедельник, 2008-06-02, 10:09 PM | Сообщение # 1672
Бакалавр
Группа: Пользователи
Сообщений: 164
Репутация: 11
Награды: 0
Замечания: 0%
Статус: Offline
LeRoy, 1 часть за 7 мин - это хорошо
 
DaimondДата: Понедельник, 2008-06-02, 10:10 PM | Сообщение # 1673
Аспирант
Группа: Проверенные
Сообщений: 491
Репутация: 34
Награды: 0
Замечания: 0%
Статус: Offline
Город: Ейск
Вот с5... тут вродь понятней будет)
Прикрепления: 6944973.jpg (21.9 Kb)


Дайте мне в руку шашку, и я устрою революцию!!!

P.S. Бабры вперёт!!!!))
 
69Milashka69Дата: Понедельник, 2008-06-02, 10:12 PM | Сообщение # 1674
Аспирант
Группа: Пользователи
Сообщений: 357
Репутация: 21
Награды: 0
Замечания: 0%
Статус: Offline
Город: Железнодорожный
LeRoy, surprised
 
SteelManДата: Понедельник, 2008-06-02, 10:14 PM | Сообщение # 1675
Аспирант
Группа: Проверенные
Сообщений: 454
Репутация: 23
Награды: 1
Замечания: 20%
Статус: Offline
Город: Новосибирск
Daimond, Можеши выложить решение того, что я выложил С3 smile Для меня тригонометрия засада wacko

 
Злое_солнцеДата: Понедельник, 2008-06-02, 10:15 PM | Сообщение # 1676
Студент
Группа: Пользователи
Сообщений: 93
Репутация: 6
Награды: 0
Замечания: 0%
Статус: Offline
Город: Тверь
Daimond, твое задание С5 похоже на демо2007......)))
 
69Milashka69Дата: Понедельник, 2008-06-02, 10:17 PM | Сообщение # 1677
Аспирант
Группа: Пользователи
Сообщений: 357
Репутация: 21
Награды: 0
Замечания: 0%
Статус: Offline
Город: Железнодорожный
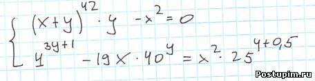
ЛЮДИ ПОМОГИТЕ ДОРЕШАТЬ ПРИМЕР... НИЧЕГО В ГОЛОВУ НЕ ЛЕЗЕТ.....
Прикрепления: 3884985.jpg (8.8 Kb)
 
sofiДата: Понедельник, 2008-06-02, 10:18 PM | Сообщение # 1678
Абитуриент
Группа: Пользователи
Сообщений: 2
Репутация: 0
Награды: 0
Замечания: 0%
Статус: Offline
Город: Ульяновск
Помогите решить задачу В9 по математике из ЕГЭ !!!

--------------------------------------------------------------------------------

Два фермера, работая вместе,могут вспахать поле за 25 часов. Производительности труда первого и второго фермеров относятся как 2:5. Фермеры планируют работать поочередно. Сколько времени должен проработать второй фермер, чтобы это поле было вспахано за 45,5 ч?
P.S. Ответы жду в личке =)

 
DaimondДата: Понедельник, 2008-06-02, 10:20 PM | Сообщение # 1679
Аспирант
Группа: Проверенные
Сообщений: 491
Репутация: 34
Награды: 0
Замечания: 0%
Статус: Offline
Город: Ейск
Quote (Злое_солнце)
Daimond, твое задание С5 похоже на демо2007......)))

Ну пахоже... может быть... ток оно какта не решается как как там пачимута..)


Дайте мне в руку шашку, и я устрою революцию!!!

P.S. Бабры вперёт!!!!))
 
69Milashka69Дата: Понедельник, 2008-06-02, 10:25 PM | Сообщение # 1680
Аспирант
Группа: Пользователи
Сообщений: 357
Репутация: 21
Награды: 0
Замечания: 0%
Статус: Offline
Город: Железнодорожный
happy Может кто-нить легкий алгоритм подкинет???????? Может я не так решаю??? вот весь пример...
Прикрепления: 3834486.jpg (13.9 Kb)
 
Поиск: