|
ЕГЭ по математике - 2008
|
|
| Daimond | Дата: Понедельник, 2008-06-02, 10:28 PM | Сообщение # 1681 |
|
Аспирант
Группа: Проверенные
Сообщений: 491
Репутация: 34
Замечания: 0%
Статус: Offline
Город: Ейск
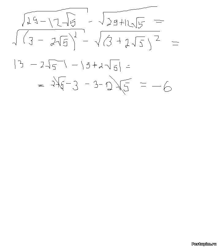
| Quote (69Milashka69) Может кто-нить легкий алгоритм подкинет???????? Может я не так решаю??? вот весь пример... Там в скобках на квадрат разбивается..
Дайте мне в руку шашку, и я устрою революцию!!! P.S. Бабры вперёт!!!!))
|
| |
| |
| 69Milashka69 | Дата: Понедельник, 2008-06-02, 10:30 PM | Сообщение # 1682 |
Аспирант
Группа: Пользователи
Сообщений: 357
Репутация: 21
Замечания: 0%
Статус: Offline
Город: Железнодорожный
| Daimond, я разбила и у меня в конечном итоге после всех превращений получилось.... то что я уже выставляла Сообщение # 1685
|
| |
| |
| mrykov | Дата: Понедельник, 2008-06-02, 10:31 PM | Сообщение # 1683 |
|
Бакалавр
Группа: Пользователи
Сообщений: 143
Репутация: 7
Замечания: 0%
Статус: Offline
Город: Москва
| Quote (Михалычъ) народ помогите с с4 Прикрепления: 0619269.jpg(175Kb) Нашел площадь основания, но не могу понять, куда падает высота = (
|
| |
| |
| menphis | Дата: Понедельник, 2008-06-02, 10:34 PM | Сообщение # 1684 |
Бакалавр
Группа: Пользователи
Сообщений: 164
Репутация: 11
Замечания: 0%
Статус: Offline
| 69Milashka69,
|
| |
| |
| Daimond | Дата: Понедельник, 2008-06-02, 10:38 PM | Сообщение # 1685 |
|
Аспирант
Группа: Проверенные
Сообщений: 491
Репутация: 34
Замечания: 0%
Статус: Offline
Город: Ейск
| Quote (69Milashka69) Daimond, я разбила и у меня в конечном итоге после всех превращений получилось.... то что я уже выставляла Сообщение # 1685 (2*корень(5)+3)^2 пасматри...Добавлено (2008-06-02, 10:38 Pm) --------------------------------------------- menphis, апередил миня)
Дайте мне в руку шашку, и я устрою революцию!!! P.S. Бабры вперёт!!!!))
|
| |
| |
| 69Milashka69 | Дата: Понедельник, 2008-06-02, 10:38 PM | Сообщение # 1686 |
Аспирант
Группа: Пользователи
Сообщений: 357
Репутация: 21
Замечания: 0%
Статус: Offline
Город: Железнодорожный
| Daimond, каким образом получились такие числа.??? блин щас заплачу....от усталости и не понимания
|
| |
| |
| bully | Дата: Понедельник, 2008-06-02, 10:38 PM | Сообщение # 1687 |
|
Абитуриент
Группа: Пользователи
Сообщений: 6
Репутация: 1
Замечания: 0%
Статус: Offline
| Quote (sofi) Помогите решить задачу В9 по математике из ЕГЭ !!! -------------------------------------------------------------------------------- Два фермера, работая вместе,могут вспахать поле за 25 часов. Производительности труда первого и второго фермеров относятся как 2:5. Фермеры планируют работать поочередно. Сколько времени должен проработать второй фермер, чтобы это поле было вспахано за 45,5 ч? P.S. Ответы жду в личке =) Ответ 28?
Сообщение отредактировал bully - Понедельник, 2008-06-02, 10:39 PM |
| |
| |
| Михалычъ | Дата: Понедельник, 2008-06-02, 10:40 PM | Сообщение # 1688 |
Бакалавр
Группа: Пользователи
Сообщений: 156
Репутация: 6
Замечания: 0%
Статус: Offline
Город: Самара
| 69Milashka69, вот моё решение Добавлено (2008-06-02, 10:40 Pm) --------------------------------------------- в конце некоторые пояснения
|
| |
| |
| 69Milashka69 | Дата: Понедельник, 2008-06-02, 10:42 PM | Сообщение # 1689 |
Аспирант
Группа: Пользователи
Сообщений: 357
Репутация: 21
Замечания: 0%
Статус: Offline
Город: Железнодорожный
| Михалычъ, я не могу понять откуда взялась пятая строка!!! блин убейте меня, но у меня истерика!
|
| |
| |
| menphis | Дата: Понедельник, 2008-06-02, 10:43 PM | Сообщение # 1690 |
Бакалавр
Группа: Пользователи
Сообщений: 164
Репутация: 11
Замечания: 0%
Статус: Offline
| 69Milashka69, нужно предположить что 12корней из5 эт удвоенное произведение т.к (a+b)^2=a^2+2ab+b^2 -> ab=6корней из 5 и следовательно a=6 и b=корень из 5 или a=2корня из пяти и b=3.
|
| |
| |
| Daimond | Дата: Понедельник, 2008-06-02, 10:43 PM | Сообщение # 1691 |
|
Аспирант
Группа: Проверенные
Сообщений: 491
Репутация: 34
Замечания: 0%
Статус: Offline
Город: Ейск
| Quote (69Milashka69) Daimond, каким образом получились такие числа.??? блин щас заплачу....от усталости и не понимания Ну... работай с 12*корень(5)..) и чё палучится..)
Дайте мне в руку шашку, и я устрою революцию!!! P.S. Бабры вперёт!!!!))
|
| |
| |
| 69Milashka69 | Дата: Понедельник, 2008-06-02, 10:44 PM | Сообщение # 1692 |
Аспирант
Группа: Пользователи
Сообщений: 357
Репутация: 21
Замечания: 0%
Статус: Offline
Город: Железнодорожный
| Михалычъ, стоп...эт же формулы сокращ умножения... спс
|
| |
| |
| bully | Дата: Понедельник, 2008-06-02, 10:44 PM | Сообщение # 1693 |
|
Абитуриент
Группа: Пользователи
Сообщений: 6
Репутация: 1
Замечания: 0%
Статус: Offline
| помогите решить такую задачу: Имеются два сплава, состоящие из цинка, меди и олова. Известно, что первый сплав содержит 40% олова, а второй - 25% меди. Процентное содержание цинка в первом и втором сплавах одинаково. Сплавив 150 кг первого сплава и 250 кг второго, получили новый сплав, в котором оказалось 30% цинка. Сколько килограммов олова содержится в получившемся сплаве?
|
| |
| |
| Михалычъ | Дата: Понедельник, 2008-06-02, 10:45 PM | Сообщение # 1694 |
Бакалавр
Группа: Пользователи
Сообщений: 156
Репутация: 6
Замечания: 0%
Статус: Offline
Город: Самара
| 69Milashka69,а где мой плюс??
|
| |
| |
| 69Milashka69 | Дата: Понедельник, 2008-06-02, 10:46 PM | Сообщение # 1695 |
Аспирант
Группа: Пользователи
Сообщений: 357
Репутация: 21
Замечания: 0%
Статус: Offline
Город: Железнодорожный
| Михалычъ, а почему перед последним знаком равно ты плюс исправил на минус????? не пойму Добавлено (2008-06-02, 10:46 Pm) --------------------------------------------- Михалычъ, всё...поняла...там же скобка...вот глупая...я на самомо деле переутамилась))) ты заслуживаешь 2 плюса))))) 
|
| |
| |