Задания c! - ФОРУМ Набор курьеров Яндекс.Еда до 3400 руб. в день

Коллективный блог
Форум




Войти
или
Зарегистрироваться
Новые сообщения · Участники · Правила форума · Поиск по форуму · RSS
  • Страница 1 из 1
  • 1
Архив - только для чтения
Задания c!
vovan5022Дата: Среда, 2008-06-04, 11:44 AM | Сообщение # 1
Студент
Группа: Пользователи
Сообщений: 21
Репутация: 4
Награды: 0
Замечания: 0%
Статус: Offline
Я на экзамене помогите решить c2-5

Сообщение отредактировал vovan5022 - Среда, 2008-06-04, 3:17 PM
 
menphisДата: Среда, 2008-06-04, 11:54 AM | Сообщение # 2
Бакалавр
Группа: Пользователи
Сообщений: 164
Репутация: 11
Награды: 0
Замечания: 0%
Статус: Offline
у тебя мой вар))
помню Б10-9 Б11- 204
С1 -0.8 С2- 4
 
vovan5022Дата: Среда, 2008-06-04, 11:57 AM | Сообщение # 3
Студент
Группа: Пользователи
Сообщений: 21
Репутация: 4
Награды: 0
Замечания: 0%
Статус: Offline
Мне нужно решение c2-5!!!
 
menphisДата: Среда, 2008-06-04, 12:41 PM | Сообщение # 4
Бакалавр
Группа: Пользователи
Сообщений: 164
Репутация: 11
Награды: 0
Замечания: 0%
Статус: Offline
в с2 раписываешь как 5xlog2(3-5x)-3x^2log2(3-5x)=5x-3^x2
делишь на икс и преобразовываешь к виду (5-3x)(log2(3-5x)-1)=0 (Не забудь одз)
C3-5 я не решил...
 
vovan5022Дата: Среда, 2008-06-04, 12:46 PM | Сообщение # 5
Студент
Группа: Пользователи
Сообщений: 21
Репутация: 4
Награды: 0
Замечания: 0%
Статус: Offline
С 1 тоже проблема ich его делать
 
menphisДата: Среда, 2008-06-04, 12:55 PM | Сообщение # 6
Бакалавр
Группа: Пользователи
Сообщений: 164
Репутация: 11
Награды: 0
Замечания: 0%
Статус: Offline
тк |x+3|<=1 <-> -1<=x+3<=1 <-> x[-4;-2]
находишь производную, приравниваешь нулю, находишь значения в точках и на концах отрезка
 
WOWДата: Среда, 2008-06-04, 12:58 PM | Сообщение # 7
Абитуриент
Группа: Пользователи
Сообщений: 9
Репутация: 0
Награды: 0
Замечания: 0%
Статус: Offline
у кого 591 вариант? как у вас в с части?
 
M-095Дата: Среда, 2008-06-04, 1:07 PM | Сообщение # 8
Аспирант
Группа: Проверенные
Сообщений: 350
Репутация: 26
Награды: 0
Замечания: 0%
Статус: Offline
Город: ЧАО п.Провидения
блин. порешал навскидку С1. что-то не могу думать после экзамена.. но область ограницения -4 до -2 включая..

ЖОПА ПОЛНАЯ!!!! :(((
физика - 53: рейтинг - 53
русский - 71: рейтинг - 89
математика - 60: рейтинг - 91
 
vovan5022Дата: Среда, 2008-06-04, 1:20 PM | Сообщение # 9
Студент
Группа: Пользователи
Сообщений: 21
Репутация: 4
Награды: 0
Замечания: 0%
Статус: Offline
Можно c2 прикреплением? а то не выехал
 
help2008Дата: Среда, 2008-06-04, 1:36 PM | Сообщение # 10
Абитуриент
Группа: Пользователи
Сообщений: 7
Репутация: 0
Награды: 0
Замечания: 0%
Статус: Offline
vovan5022,
С3: Рассмотрим знаменатель дроби:
3cos(x-1)^0.5 -4-a не равно 0,
a не равно 3cos(x-1)^0.5 -4. Найдем множество значений выражения 3cos(x-1)^0.5 -4:
-3<=3cos(x-1)^0.5<=3,
-7<=3cos(x-1)^0.5 -4<=-1. Таким образом, чтобы изначально данное неравенство не имело решений, "а" должно € [-7; -1] при х € [1; +беск.).

также чтобы изначально данное неравенство не имело решений, нужно решить 2 системы не равенств:
система 1:
1) числитель данной дроби <=0
2) знаменатель даной дроби >0
ИЛИ
система 2:
1) числитель данной дроби >=0
2) знаменатель даной дроби <0. Нужно решить системы и взять те значения "а", которые не войдут в решение.

я думаю, что за это хотя бы 1-2 балла дадут.

 
help2008Дата: Среда, 2008-06-04, 2:50 PM | Сообщение # 11
Абитуриент
Группа: Пользователи
Сообщений: 7
Репутация: 0
Награды: 0
Замечания: 0%
Статус: Offline
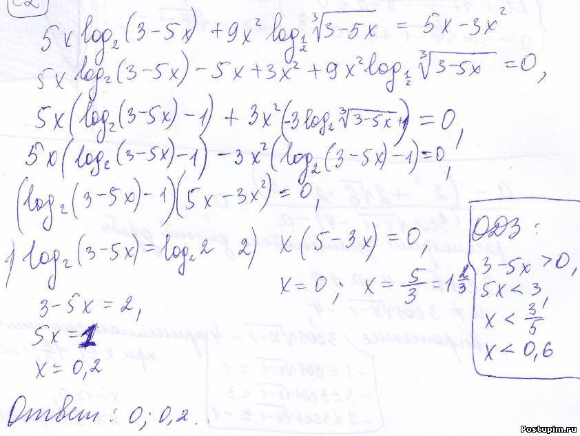
menphis, в С2 нельзя делить на икс. Потеряешь корень х=0.
vovan5022, Вот моё решение:
Прикрепления: 0433831.jpg (61.9 Kb)
 
vovan5022Дата: Среда, 2008-06-04, 3:01 PM | Сообщение # 12
Студент
Группа: Пользователи
Сообщений: 21
Репутация: 4
Награды: 0
Замечания: 0%
Статус: Offline
Help2008, круто, только я уже с экзамена пришел. cry А уравнение я бросил после того, как сделал одинакое основание у логарифмов, разделил выражение на x и домножил его на минус один...

Сообщение отредактировал vovan5022 - Среда, 2008-06-04, 3:02 PM
 
AndruXa0705Дата: Среда, 2008-06-04, 3:09 PM | Сообщение # 13
Магистр
Группа: Проверенные
Сообщений: 214
Репутация: 20
Награды: 1
Замечания: 0%
Статус: Offline
Quote (vovan5022)
vovan5022

У меня такое же задание как и у тебя В7 и В8 и С1 а у тебя какие ответы?


Сообщение отредактировал AndruXa0705 - Среда, 2008-06-04, 3:14 PM
 
menphisДата: Среда, 2008-06-04, 3:35 PM | Сообщение # 14
Бакалавр
Группа: Пользователи
Сообщений: 164
Репутация: 11
Награды: 0
Замечания: 0%
Статус: Offline
help2008, всмысле вынести или написать x=0 и поделить
 
help2008Дата: Среда, 2008-06-04, 4:17 PM | Сообщение # 15
Абитуриент
Группа: Пользователи
Сообщений: 7
Репутация: 0
Награды: 0
Замечания: 0%
Статус: Offline
menphis, да, так тоже можно, хотя я не пробовал. ответ тот же, да?
 
  • Страница 1 из 1
  • 1
Поиск: