|
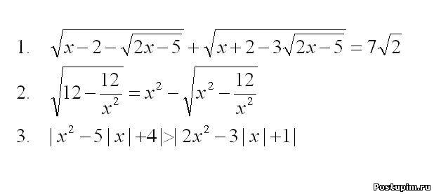
Помогите решить
|
|
| Ai | Дата: Понедельник, 2008-06-23, 11:19 AM | Сообщение # 1 |
|
Абитуриент
Группа: Пользователи
Сообщений: 8
Репутация: 0
Замечания: 0%
Статус: Offline
Город: Новосибирск
| Вот
|
| |
| |
| alan | Дата: Вторник, 2008-06-24, 11:02 AM | Сообщение # 2 |
Абитуриент
Группа: Пользователи
Сообщений: 8
Репутация: 1
Замечания: 0%
Статус: Offline
Город: Горно-Алтайск
| 1) один из корней перенеси направо возводи в квадрат и потом еще раз. И все 2)выноси из скобки 12- 12/x^2 3) можно решить но очень долго 4) и совет : много не решай такие примеры, а то инвалидом станешь
1111
|
| |
| |
| Flash_Rus | Дата: Суббота, 2008-06-28, 1:35 PM | Сообщение # 3 |
|
Абитуриент
Группа: Пользователи
Сообщений: 12
Репутация: 0
Замечания: 0%
Статус: Offline
| Плиз, может и это кто-нибудь поможет решить (это из вар.117 ege-ct.sbn.bz)
|
| |
| |
| anouk | Дата: Суббота, 2008-06-28, 2:17 PM | Сообщение # 4 |
|
Аспирант
Группа: Проверенные
Сообщений: 422
Репутация: 32
Замечания: 0%
Статус: Offline
| Flash_Rus, Очевидно, что функции f и g линейные. Пусть f(x)=ax+b, g(x)=cx+d. Сначала найти f(x+2)=ax+2a+b, которое равно 3х-1, откуда находится f(x)=4x-3. Затем найти f(cx+d)=3cx+3d-7, которое равно 4x-3, и найти g(x)=(4/3)x+4/3. В итоге g(8)=12.
Сообщение отредактировал anouk - Суббота, 2008-06-28, 2:20 PM |
| |
| |
| alan | Дата: Суббота, 2008-06-28, 3:15 PM | Сообщение # 5 |
Абитуриент
Группа: Пользователи
Сообщений: 8
Репутация: 1
Замечания: 0%
Статус: Offline
Город: Горно-Алтайск
| у меня чуть другое: f(g(8))=4*8-3=29; y=x+2; g(8)=y; g(8)=x+2: F(g(8))=F(y);F(y)=3x-1=29 ; x=10;y=12 G(8)=12' не забудь поблагодарить
1111
|
| |
| |
| anouk | Дата: Суббота, 2008-06-28, 4:27 PM | Сообщение # 6 |
|
Аспирант
Группа: Проверенные
Сообщений: 422
Репутация: 32
Замечания: 0%
Статус: Offline
| alan, Хотелось бы прояснить один момент. Откуда взято это равенство? Получается, что функция (x+2) равна констнанте, что не является истиной.
Сообщение отредактировал anouk - Суббота, 2008-06-28, 4:28 PM |
| |
| |
| Flash_Rus | Дата: Суббота, 2008-06-28, 7:03 PM | Сообщение # 7 |
|
Абитуриент
Группа: Пользователи
Сообщений: 12
Репутация: 0
Замечания: 0%
Статус: Offline
| Спасибо огромное!А то функции после школы как-то подзабыл
|
| |
| |
| Flash_Rus | Дата: Суббота, 2008-06-28, 9:53 PM | Сообщение # 8 |
|
Абитуриент
Группа: Пользователи
Сообщений: 12
Репутация: 0
Замечания: 0%
Статус: Offline
| Помогите плиз ещё по этому мааленькому вопросику. Как определить какая из 2х точек являеться точкой максимума.У меня выходит 2 точки -0,4, и +0,5. В ответе -0.4.Может как-то их проверяют?Какая подходит,а какая нет?Как определить?
|
| |
| |
| anouk | Дата: Суббота, 2008-06-28, 10:15 PM | Сообщение # 9 |
|
Аспирант
Группа: Проверенные
Сообщений: 422
Репутация: 32
Замечания: 0%
Статус: Offline
| Flash_Rus, Точка 0,5 не входит в область определения функции, следовательно, не является критической точкой, значит, не может быть точкой максимума.
Сообщение отредактировал anouk - Суббота, 2008-06-28, 10:16 PM |
| |
| |
| alan | Дата: Суббота, 2008-06-28, 10:20 PM | Сообщение # 10 |
Абитуриент
Группа: Пользователи
Сообщений: 8
Репутация: 1
Замечания: 0%
Статус: Offline
Город: Горно-Алтайск
| слушай,берешь пройзводною и подставляешь -1 затем ноль, и смотришь если знак меняется с плюса на минус, то оно max! но если - на + , то - min Добавлено (2008-06-28, 10:20 Pm) --------------------------------------------- anouk, почему 0,5 не входит, оно входит 
1111
Сообщение отредактировал alan - Суббота, 2008-06-28, 10:35 PM |
| |
| |
| anouk | Дата: Суббота, 2008-06-28, 10:33 PM | Сообщение # 11 |
|
Аспирант
Группа: Проверенные
Сообщений: 422
Репутация: 32
Замечания: 0%
Статус: Offline
| Quote (alan) anouk, почему 0,5 не входит, оно входит alan, Знаменатель в составе первого слагаемого не должен быть равен нулю. Решаем неравенство и находим, что x не равен 0.5+k.Добавлено (2008-06-28, 10:33 Pm) ---------------------------------------------
Quote (alan) если знак меняется с минуса на плюс, то оно max Точка максимума (не путать с максимальным значением функции) будет, если производная меняет знак в ней с плюса на минус.
|
| |
| |
| alan | Дата: Суббота, 2008-06-28, 10:33 PM | Сообщение # 12 |
Абитуриент
Группа: Пользователи
Сообщений: 8
Репутация: 1
Замечания: 0%
Статус: Offline
Город: Горно-Алтайск
| anouk, g(8)=не константе, это не линейная функция, это-нейзвестная фукция, ее просто так написали ,чтобы усложнить ее. Я так думаю
1111
|
| |
| |
| anouk | Дата: Суббота, 2008-06-28, 10:36 PM | Сообщение # 13 |
|
Аспирант
Группа: Проверенные
Сообщений: 422
Репутация: 32
Замечания: 0%
Статус: Offline
| alan, g(8) - это значение этой самой неизвестной функции в точке 8, а не функция.
Сообщение отредактировал anouk - Суббота, 2008-06-28, 10:37 PM |
| |
| |
| alan | Дата: Суббота, 2008-06-28, 10:37 PM | Сообщение # 14 |
Абитуриент
Группа: Пользователи
Сообщений: 8
Репутация: 1
Замечания: 0%
Статус: Offline
Город: Горно-Алтайск
| да, мы оба правы, мы просто по-разному говорим
1111
Сообщение отредактировал alan - Суббота, 2008-06-28, 10:41 PM |
| |
| |
| Flash_Rus | Дата: Воскресенье, 2008-06-29, 10:06 AM | Сообщение # 15 |
|
Абитуриент
Группа: Пользователи
Сообщений: 12
Репутация: 0
Замечания: 0%
Статус: Offline
| Anouk,Alan.Спасибо вам!!!
|
| |
| |