|
Помогите решить химию
|
|
| ДекобразЕЕр | Дата: Пятница, 2009-05-15, 12:28 PM | Сообщение # 1 |
Аспирант
Группа: Проверенные
Сообщений: 478
Репутация: 366
Замечания: 0%
Статус: Offline
Город: Кокчетав =)) +3 МсК
| Последнюю контрольную по химии написал прямо скажем куево ((( Теперь выходит тройка в аттестат, чего очень не хотелось бы(( Учитель сказала что нужно будет написать нормально 3-4 работы. Ответов на них в нете не нашел, сам сто процентов нормально не напишу, выручайте!!!! http://ifolder.ru/12123460 -- там две папки, "Контрольная" и "Проверочная" В каждой из них темы "Металлы" и "Неметаллы", Книжка по Габриеляну, может кто в школе такие решал? Или порешайте пожалсто (((Добавлено (2009-05-15, 11:13 Am) --------------------------------------------- Нароооод, нелп ми, мне писать в понедельник, ответы нужны в воскресенье. НЕЛП МИ НЕЛП МИ НЕЛП МИ  Добавлено (2009-05-15, 12:28 Pm) --------------------------------------------- Мне кто-нибудь помогет? Аууу 
Меняюсь плюсами :D 
|
| |
| |
| Creestall | Дата: Пятница, 2009-05-15, 3:11 PM | Сообщение # 2 |
Магистр
Группа: Проверенные
Сообщений: 281
Репутация: 21
Замечания: 0%
Статус: Offline
Город: Самара
| ДекобразЕЕр, вот держи 2 работы, хотя я не великий ум, но что-то знаю...
http://vkontakte.ru/id15814958
|
| |
| |
| ДекобразЕЕр | Дата: Пятница, 2009-05-15, 4:47 PM | Сообщение # 3 |
Аспирант
Группа: Проверенные
Сообщений: 478
Репутация: 366
Замечания: 0%
Статус: Offline
Город: Кокчетав =)) +3 МсК
| Никто кроме Creestall не хочет мне помочь?
Меняюсь плюсами :D 
|
| |
| |
| 2t6y236p4 | Дата: Пятница, 2009-05-15, 5:07 PM | Сообщение # 4 |
Академик
Группа: Проверенные
Сообщений: 1310
Репутация: 454
Замечания: 0%
Статус: Offline
Город: Астрахань
| ДекобразЕЕр, я бы помогла, но у меня не открывается твой документ.
Студентка 3 курса лечебного факультета СПбГМУ им.академика Павлова
|
| |
| |
| 2t6y236p4 | Дата: Пятница, 2009-05-15, 5:37 PM | Сообщение # 5 |
Академик
Группа: Проверенные
Сообщений: 1310
Репутация: 454
Замечания: 0%
Статус: Offline
Город: Астрахань
| ДекобразЕЕр, сейчас я поеду на занятия, по дороге порешаю, я так поняла, тебе надо решить 4 варианта?
Студентка 3 курса лечебного факультета СПбГМУ им.академика Павлова
|
| |
| |
| Creestall | Дата: Пятница, 2009-05-15, 5:54 PM | Сообщение # 6 |
Магистр
Группа: Проверенные
Сообщений: 281
Репутация: 21
Замечания: 0%
Статус: Offline
Город: Самара
| Металлы. 2 вариант (проверочная)
http://vkontakte.ru/id15814958
|
| |
| |
| Creestall | Дата: Пятница, 2009-05-15, 6:17 PM | Сообщение # 7 |
Магистр
Группа: Проверенные
Сообщений: 281
Репутация: 21
Замечания: 0%
Статус: Offline
Город: Самара
| Неметаллы. 1 вариант (проверочная)
http://vkontakte.ru/id15814958
|
| |
| |
| Creestall | Дата: Пятница, 2009-05-15, 6:48 PM | Сообщение # 8 |
Магистр
Группа: Проверенные
Сообщений: 281
Репутация: 21
Замечания: 0%
Статус: Offline
Город: Самара
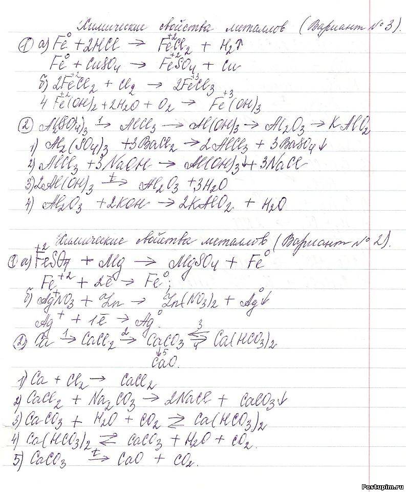
| Химические свойства металлов. Варианты 2 и 3 (контрольная)
http://vkontakte.ru/id15814958
|
| |
| |
| ДекобразЕЕр | Дата: Пятница, 2009-05-15, 6:50 PM | Сообщение # 9 |
Аспирант
Группа: Проверенные
Сообщений: 478
Репутация: 366
Замечания: 0%
Статус: Offline
Город: Кокчетав =)) +3 МсК
| Слушай, ты случаем не с решебника всё скатываешь ? Ну очень уж быстро =) МосК =) Уважаю +)
Меняюсь плюсами :D 
|
| |
| |
| Creestall | Дата: Пятница, 2009-05-15, 6:56 PM | Сообщение # 10 |
Магистр
Группа: Проверенные
Сообщений: 281
Репутация: 21
Замечания: 0%
Статус: Offline
Город: Самара
| Неметаллы. 4 вариант (контрольная) Добавлено (2009-05-15, 6:55 Pm) --------------------------------------------- Справочными материалами пользуюсь, а вот решебником, это не ко мне))) У меня был решебник... я там кучу ошибок нашел))) Добавлено (2009-05-15, 6:56 Pm) --------------------------------------------- ...у меня тоже могут быть ошибки...
http://vkontakte.ru/id15814958
|
| |
| |
| 2t6y236p4 | Дата: Пятница, 2009-05-15, 7:08 PM | Сообщение # 11 |
Академик
Группа: Проверенные
Сообщений: 1310
Репутация: 454
Замечания: 0%
Статус: Offline
Город: Астрахань
| у меня вроде так же, как у Кристалла.
Студентка 3 курса лечебного факультета СПбГМУ им.академика Павлова
|
| |
| |
| ДекобразЕЕр | Дата: Суббота, 2009-05-16, 6:17 PM | Сообщение # 12 |
Аспирант
Группа: Проверенные
Сообщений: 478
Репутация: 366
Замечания: 0%
Статус: Offline
Город: Кокчетав =)) +3 МсК
| Меня "напрягает" , что тема ушла на вторую страницу  Добавлено (2009-05-16, 6:17 Pm) --------------------------------------------- Creestall, 2t6y236p4, где выыы, мне завтра днем уже ответы нужны, подготовиться, да зазубрить где, что писать.
Меняюсь плюсами :D 
|
| |
| |
| 2t6y236p4 | Дата: Суббота, 2009-05-16, 7:03 PM | Сообщение # 13 |
Академик
Группа: Проверенные
Сообщений: 1310
Репутация: 454
Замечания: 0%
Статус: Offline
Город: Астрахань
| ДекобразЕЕр, а что ещё осталось решить, а то я запуталась?
Студентка 3 курса лечебного факультета СПбГМУ им.академика Павлова
|
| |
| |
| Bacek | Дата: Суббота, 2009-05-16, 7:22 PM | Сообщение # 14 |
Бакалавр
Группа: Проверенные
Сообщений: 133
Репутация: 23
Замечания: 0%
Статус: Offline
Город: Новоорск
| Да, ты реально напиши что осталось решать. Добавлено (2009-05-16, 7:22 Pm) --------------------------------------------- Да, ты реально напиши что осталось решать.
ЕГЭ позади- сессия впереди....
|
| |
| |
| ДекобразЕЕр | Дата: Воскресенье, 2009-05-17, 2:14 PM | Сообщение # 15 |
Аспирант
Группа: Проверенные
Сообщений: 478
Репутация: 366
Замечания: 0%
Статус: Offline
Город: Кокчетав =)) +3 МсК
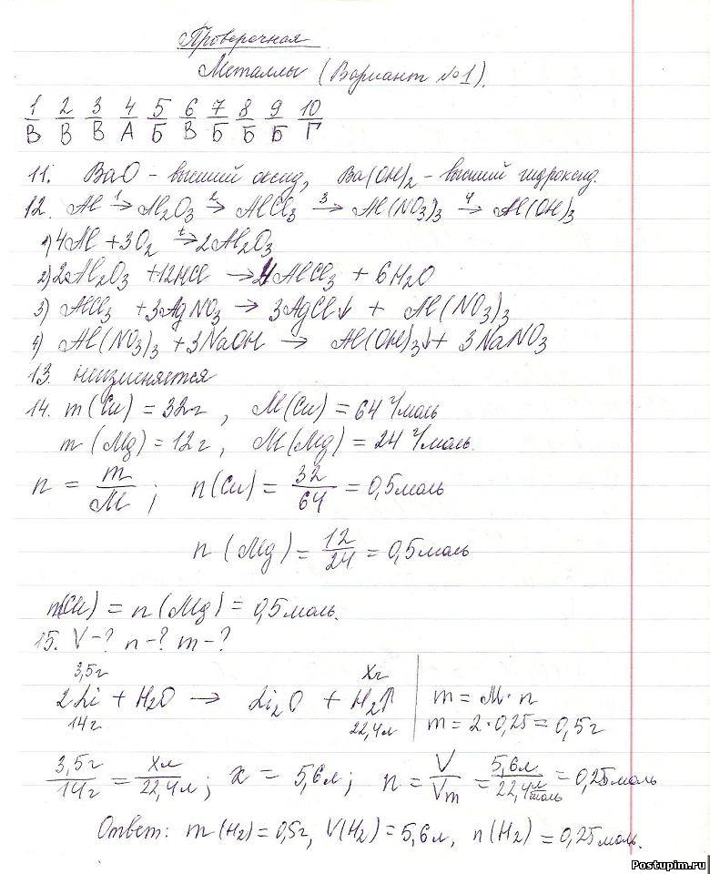
| Вот что осталось, пожалуйсто решите Металлы 3 вариант http://pic.ipicture.ru/uploads/090515/30722/XC17I6m2B0.jpg 4 вариант http://pic.ipicture.ru/uploads/090515/30722/tFhXUtRNu5.jpg , и 14-15 задания сверху http://pic.ipicture.ru/uploads/090515/30722/Z2URY9O13G.jpg Неметаллы 3 вариант задания 10-15 http://pic.ipicture.ru/uploads/090515/30722/HRsw6NseNA.jpg 4 вариант задания 10-15 http://pic.ipicture.ru/uploads/090515/30722/HRsw6NseNA.jpg http://pic.ipicture.ru/uploads/090515/30722/Rcmz4wRJGa.jpg Добавлено (2009-05-17, 7:27 Am) --------------------------------------------- И по возможности вот эти решить (Кр. работы) http://pic.ipicture.ru/uploads/090515/30722/8728DduG4z.jpg http://pic.ipicture.ru/uploads/090515/30722/2kjwTaKI4p.jpg http://pic.ipicture.ru/uploads/090515/30722/5tWOUpk71G.jpg Добавлено (2009-05-17, 2:14 Pm) --------------------------------------------- Всем, ну просто приогромнейшее "Спасибо" 
Меняюсь плюсами :D 
|
| |
| |