помогите решить задачку по физике)) - ФОРУМ Набор курьеров Яндекс.Еда до 3400 руб. в день

Коллективный блог
Форум




Войти
или
Зарегистрироваться
Новые сообщения · Участники · Правила форума · Поиск по форуму · RSS
  • Страница 1 из 1
  • 1
Архив - только для чтения
помогите решить задачку по физике))
ev1lgrafДата: Вторник, 2010-05-04, 12:59 PM | Сообщение # 1
Аспирант
Группа: Проверенные
Сообщений: 302
Репутация: 45
Награды: 12
Замечания: 0%
Статус: Offline
Город: n-сити
вот собственно они
Прикрепления: 6483046.jpg (210.6 Kb)


...
и+о+р=187
...


Сообщение отредактировал ev1lgraf - Вторник, 2010-05-04, 1:25 PM
 
UmpДата: Вторник, 2010-05-04, 1:18 PM | Сообщение # 2
Аспирант
Группа: Проверенные
Сообщений: 336
Репутация: 49
Награды: 3
Замечания: 0%
Статус: Offline
Город: Вологда
переверните фото.

Добавлено (2010-05-04, 1:18 PM)
---------------------------------------------
еще в первом работу выхода не видно. )


егэ 2010.
математика. - 60, рейтинг 87 по области. rofl.
русский - 61. рад =)
физика. 60. а вам не надоело бы это число?
 
ev1lgrafДата: Вторник, 2010-05-04, 1:26 PM | Сообщение # 3
Аспирант
Группа: Проверенные
Сообщений: 302
Репутация: 45
Награды: 12
Замечания: 0%
Статус: Offline
Город: n-сити
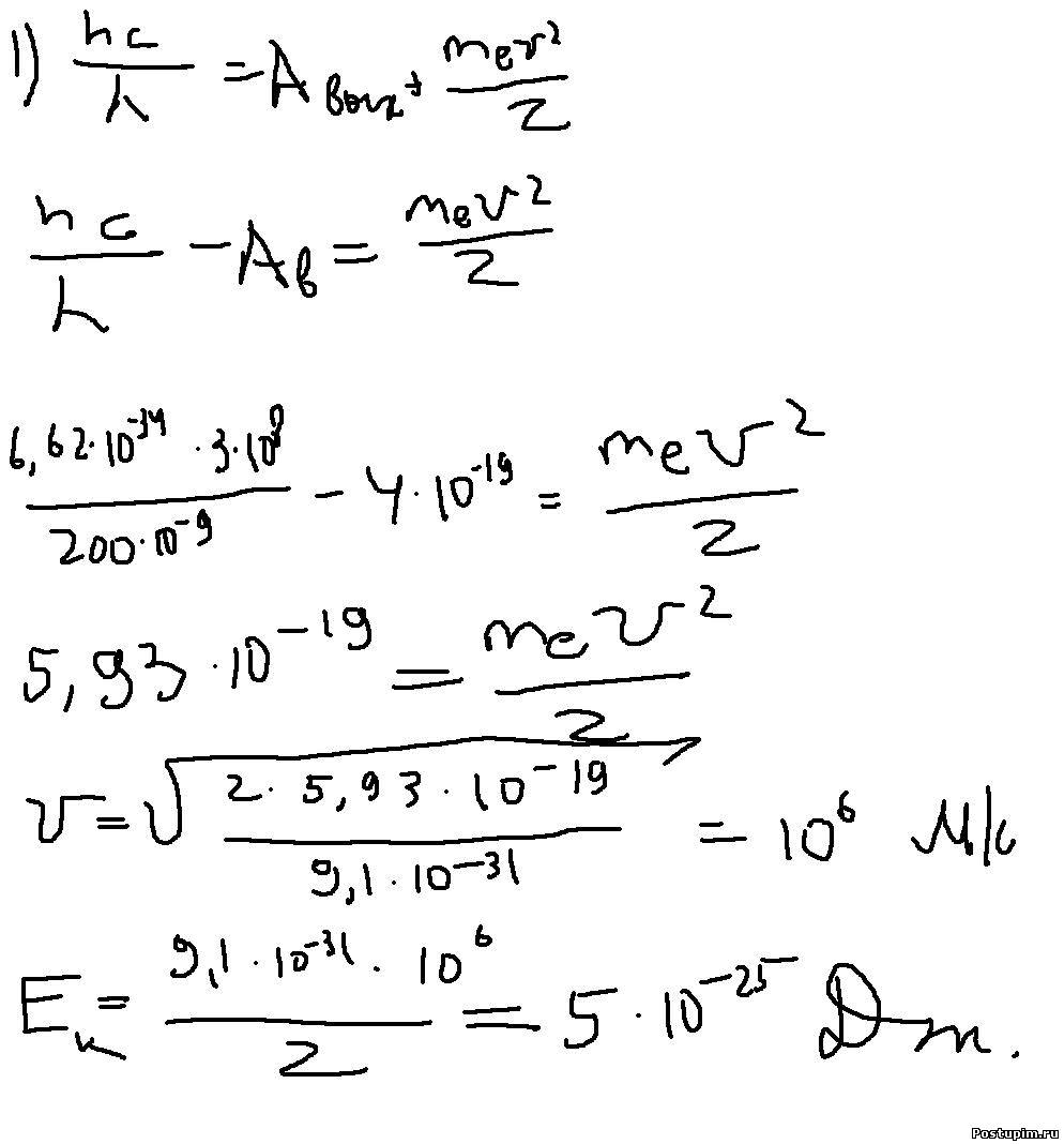
в первом 4*10^-19

...
и+о+р=187
...
 
UmpДата: Вторник, 2010-05-04, 1:34 PM | Сообщение # 4
Аспирант
Группа: Проверенные
Сообщений: 336
Репутация: 49
Награды: 3
Замечания: 0%
Статус: Offline
Город: Вологда
2) не изменится
3)там водород
4)E=c^2 * дельта m
дельта m= (mпротонаNпротона+mнейтронаNнейтрона)-mядра
так вроде.
Прикрепления: 4494499.jpg (83.8 Kb)


егэ 2010.
математика. - 60, рейтинг 87 по области. rofl.
русский - 61. рад =)
физика. 60. а вам не надоело бы это число?
 
ev1lgrafДата: Вторник, 2010-05-04, 1:52 PM | Сообщение # 5
Аспирант
Группа: Проверенные
Сообщений: 302
Репутация: 45
Награды: 12
Замечания: 0%
Статус: Offline
Город: n-сити
спасибо

...
и+о+р=187
...
 
  • Страница 1 из 1
  • 1
Поиск: