Математика! - Страница 6 - ФОРУМ Набор курьеров Яндекс.Еда до 3400 руб. в день

Коллективный блог
Форум




Войти
или
Зарегистрироваться
Новые сообщения · Участники · Правила форума · Поиск по форуму · RSS
Математика!
healerДата: Вторник, 2010-11-23, 9:16 PM | Сообщение # 76
Академик
Группа: Проверенные
Сообщений: 1399
Репутация: 864
Награды: 13
Замечания: 0%
Статус: Offline
пойду-ка я готовиться к колоквиуму по электростатике, завтра, блин...

бонч 3 курс
 
LequelДата: Вторник, 2010-11-23, 9:16 PM | Сообщение # 77
Нобелевский лауреат
Группа: Проверенные
Сообщений: 3163
Репутация: 791
Награды: 49
Замечания: 0%
Статус: Offline
Город: Москва
Quote (healer)
потому что lg- это же логарифм с основанием 10

я не знала(


'14 finished.
Big4.

2высшее
ММИ "Реавиз", лечебное дело;
 
healerДата: Вторник, 2010-11-23, 9:17 PM | Сообщение # 78
Академик
Группа: Проверенные
Сообщений: 1399
Репутация: 864
Награды: 13
Замечания: 0%
Статус: Offline
кстати, 3-й пример с моего листочка удобнее логарифмированием, но это кому как нравится

бонч 3 курс
 
LequelДата: Вторник, 2010-11-23, 9:22 PM | Сообщение # 79
Нобелевский лауреат
Группа: Проверенные
Сообщений: 3163
Репутация: 791
Награды: 49
Замечания: 0%
Статус: Offline
Город: Москва
произаодная от икса есть вообще?еет же,да?

'14 finished.
Big4.

2высшее
ММИ "Реавиз", лечебное дело;
 
БерцДата: Вторник, 2010-11-23, 9:23 PM | Сообщение # 80
Нобелевский лауреат
Группа: Проверенные
Сообщений: 7165
Репутация: 1673
Награды: 63
Замечания: 0%
Статус: Offline
Город: О_о
Lequel, почему? есть, единица
x'=1
 
LequelДата: Вторник, 2010-11-23, 9:24 PM | Сообщение # 81
Нобелевский лауреат
Группа: Проверенные
Сообщений: 3163
Репутация: 791
Награды: 49
Замечания: 0%
Статус: Offline
Город: Москва
кто нибудь модет обхяснить приращение?и дифференциал?
я завтра производные доделаю.

Добавлено (2010-11-23, 9:24 PM)
---------------------------------------------
Берц, точно.спасибо.


'14 finished.
Big4.

2высшее
ММИ "Реавиз", лечебное дело;
 
LequelДата: Вторник, 2010-11-23, 9:27 PM | Сообщение # 82
Нобелевский лауреат
Группа: Проверенные
Сообщений: 3163
Репутация: 791
Награды: 49
Замечания: 0%
Статус: Offline
Город: Москва
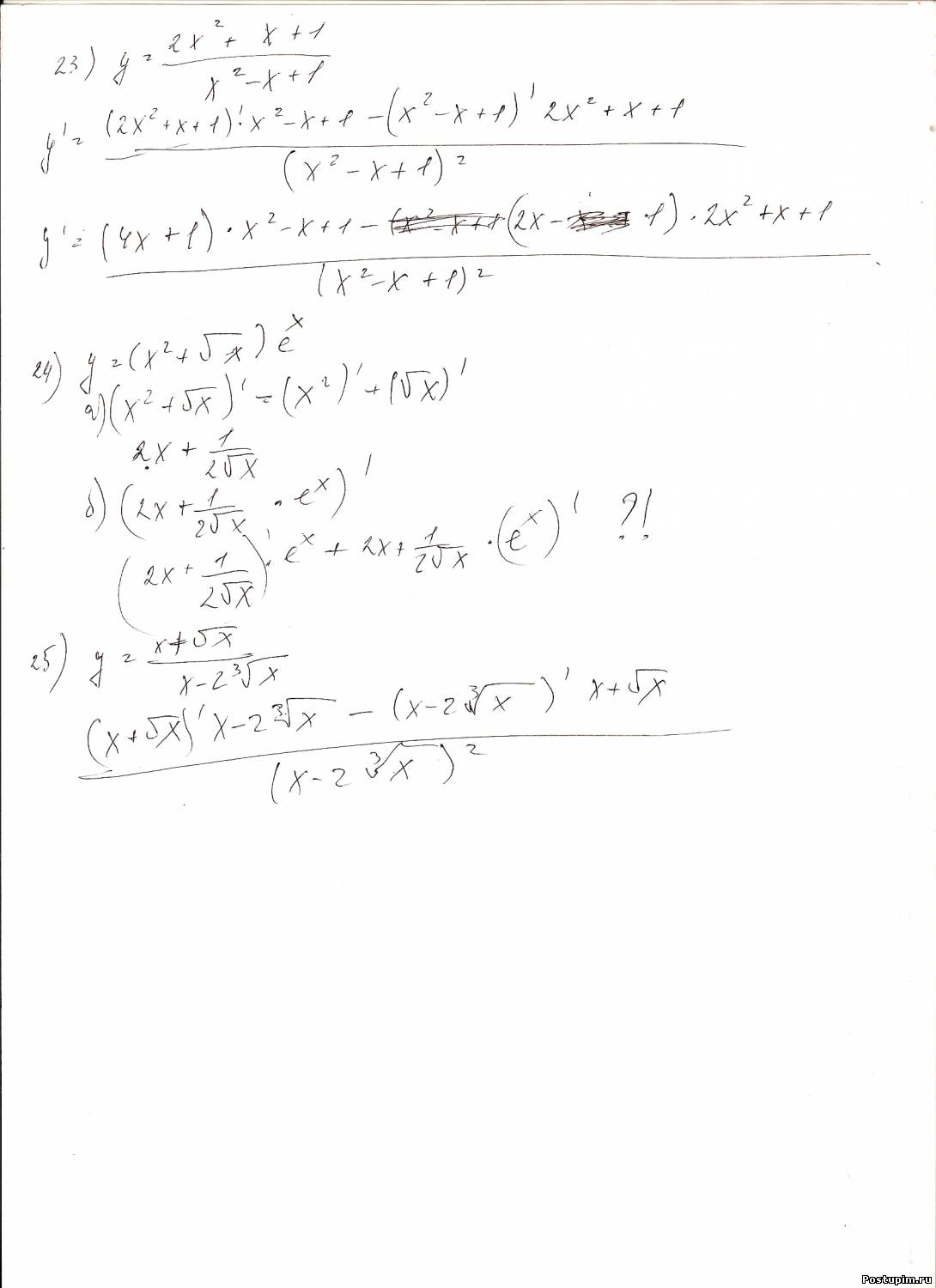
и последнее..я не знаю как те два елать.все.голова не варит больше
Прикрепления: 1940995.jpg (77.4 Kb)


'14 finished.
Big4.

2высшее
ММИ "Реавиз", лечебное дело;
 
healerДата: Вторник, 2010-11-23, 9:28 PM | Сообщение # 83
Академик
Группа: Проверенные
Сообщений: 1399
Репутация: 864
Награды: 13
Замечания: 0%
Статус: Offline
Lequel, вот насчет приращения сам не в курсе. до сих пор даже не знаю, как с интегралами обращаться)

бонч 3 курс

Сообщение отредактировал healer - Вторник, 2010-11-23, 9:28 PM
 
БерцДата: Вторник, 2010-11-23, 9:33 PM | Сообщение # 84
Нобелевский лауреат
Группа: Проверенные
Сообщений: 7165
Репутация: 1673
Награды: 63
Замечания: 0%
Статус: Offline
Город: О_о
Lequel,
(e^x)'= e^x

Добавлено (2010-11-23, 9:30 PM)
---------------------------------------------

Quote
как с интегралами обращаться

а у нас во втором семестре)
Quote
модет обхяснить приращение?и дифференциал?

ну а что конкретно?

Добавлено (2010-11-23, 9:33 PM)
---------------------------------------------
23 правильно, только скобки опять забываешь, будут придираться к этому

 
LequelДата: Вторник, 2010-11-23, 9:46 PM | Сообщение # 85
Нобелевский лауреат
Группа: Проверенные
Сообщений: 3163
Репутация: 791
Награды: 49
Замечания: 0%
Статус: Offline
Город: Москва
Quote (healer)
до сих пор даже не знаю, как с интегралами обращаться)

то же смое..а у нас третья контрольная на это...это ппц..вылечу как пробка...
Quote (Берц)
ну а что конкретно?

что как каким образом делать...
ну вот например на примере y=x^2-x при х=10 и дельта х=0,1

объясни пожалуйста как те два делать которые выложены...
там опять дохера сумм, из них прозиводную..я запуталась


'14 finished.
Big4.

2высшее
ММИ "Реавиз", лечебное дело;
 
БерцДата: Вторник, 2010-11-23, 9:54 PM | Сообщение # 86
Нобелевский лауреат
Группа: Проверенные
Сообщений: 7165
Репутация: 1673
Награды: 63
Замечания: 0%
Статус: Offline
Город: О_о
Quote
на примере y=x^2-x при х=10 и дельта х=0,1

а что делать то надо?
Quote
те два делать которые выложены..

23,24,25?
ну 23 - правильно
24:
y'=(2x+1/2*x^(-1/2)) * e^x + e^x *(x^2+ x^1/2 )
25 - правильно, просто досчитай
 
LequelДата: Вторник, 2010-11-23, 9:56 PM | Сообщение # 87
Нобелевский лауреат
Группа: Проверенные
Сообщений: 3163
Репутация: 791
Награды: 49
Замечания: 0%
Статус: Offline
Город: Москва
Quote (Берц)
а что делать то надо?

найти приращение и дифыеренциал
Quote (Берц)
ну 23 - правильно

ок

Quote (Берц)
24:
y'=(2x+1/2*x^(-1/2)) * e^x + e^x *(x^2+ x^1/2 )

спс щас перепишу
Quote (Берц)
25 - правильно, просто досчитай

х- 2 кубическиц корень из икс- какая производная?


'14 finished.
Big4.

2высшее
ММИ "Реавиз", лечебное дело;
 
БерцДата: Вторник, 2010-11-23, 10:02 PM | Сообщение # 88
Нобелевский лауреат
Группа: Проверенные
Сообщений: 7165
Репутация: 1673
Награды: 63
Замечания: 0%
Статус: Offline
Город: О_о
Quote
х- 2 кубическиц корень из икс- какая производная?

корень 3 степени из икс = x^1/3
тогда
(x-2*x^1/3)' = 1 - 2*1/3*x^(-2/3)

Добавлено (2010-11-23, 10:02 PM)
---------------------------------------------
дифференциал я сам не знаю. cry
приращение: dy=y(x+dx)-y(x)
т.е dy=y(10+0,1)-y(10)

 
LequelДата: Вторник, 2010-11-23, 10:06 PM | Сообщение # 89
Нобелевский лауреат
Группа: Проверенные
Сообщений: 3163
Репутация: 791
Награды: 49
Замечания: 0%
Статус: Offline
Город: Москва
спасибо...спаситель)завтра продолжим, ок?:))))там уже будет дифференцирование...я его вообще не понимаю..

Добавлено (2010-11-23, 10:06 PM)
---------------------------------------------

Quote (Берц)
приращение: dy=y(x+dx)-y(x)
т.е dy=y(10+0,1)-y(10)

ух ты!!


'14 finished.
Big4.

2высшее
ММИ "Реавиз", лечебное дело;
 
БерцДата: Вторник, 2010-11-23, 10:07 PM | Сообщение # 90
Нобелевский лауреат
Группа: Проверенные
Сообщений: 7165
Репутация: 1673
Награды: 63
Замечания: 0%
Статус: Offline
Город: О_о
ок) после 20.00
http://ru.wikipedia.org/wiki/Дифференциал_ (математика)
вроде бы понятно написано, я почти разобрался)
 
Поиск: