|
Математика.Теория вероятности.
|
|
| Avrorasmera | Дата: Среда, 2010-11-24, 11:43 AM | Сообщение # 1 |
Бакалавр
Группа: Проверенные
Сообщений: 136
Репутация: 0
Замечания: 0%
Статус: Offline
Город: Санкт-Петербург
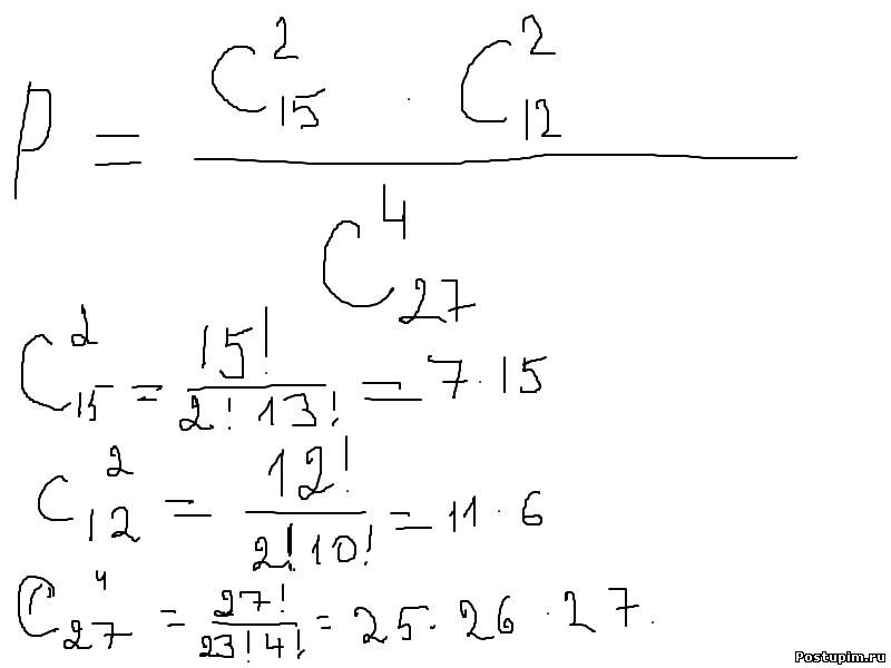
| Ребята,учусь на втором курсе мед колледжа и очень прошу вас помочь. Недавно начали повторять теорию вероятности.Не очень разбираюсь в этой теме. Помогите пожалуйста решить задачу по математике на теорию вероятности.Заранее спасибо большое=) Задача: Четыре билета на ёлку распределили по жребию между 15 мальчиками и 12 девочками. Какова вероятность того, что билеты достанутся 2 мальчикам и двум девочкам?
|
| |
| |
| maksimus | Дата: Среда, 2010-11-24, 11:47 AM | Сообщение # 2 |
Академик
Группа: Проверенные
Сообщений: 1190
Репутация: 961
Замечания: 0%
Статус: Offline
| вот дальше посчитаешь сама? 
МАТЕМАТИКA АСЯ 633432074
Очистите голову от мусора и задница сама избавится от проблем.
Интуиция - это способность головы чувствовать задницей(с)
Сообщение отредактировал maksimus - Среда, 2010-11-24, 11:50 AM |
| |
| |
| Avrorasmera | Дата: Среда, 2010-11-24, 12:01 PM | Сообщение # 3 |
Бакалавр
Группа: Проверенные
Сообщений: 136
Репутация: 0
Замечания: 0%
Статус: Offline
Город: Санкт-Петербург
| спасибо бьольшое=)
|
| |
| |
| Avrorasmera | Дата: Среда, 2010-11-24, 12:06 PM | Сообщение # 4 |
Бакалавр
Группа: Проверенные
Сообщений: 136
Репутация: 0
Замечания: 0%
Статус: Offline
Город: Санкт-Петербург
| ахах,конечно=)))))
|
| |
| |
| Avrorasmera | Дата: Среда, 2010-11-24, 12:14 PM | Сообщение # 5 |
Бакалавр
Группа: Проверенные
Сообщений: 136
Репутация: 0
Замечания: 0%
Статус: Offline
Город: Санкт-Петербург
| да не за что Это вам спасибо Только вот число большое получаетсяДобавлено (2010-11-24, 12:14 PM) --------------------------------------------- эээ конечно=)))спасибо=)жду
|
| |
| |
| Avrorasmera | Дата: Среда, 2010-11-24, 12:16 PM | Сообщение # 6 |
Бакалавр
Группа: Проверенные
Сообщений: 136
Репутация: 0
Замечания: 0%
Статус: Offline
Город: Санкт-Петербург
| ага=)
|
| |
| |
| maksimus | Дата: Среда, 2010-11-24, 12:16 PM | Сообщение # 7 |
Академик
Группа: Проверенные
Сообщений: 1190
Репутация: 961
Замечания: 0%
Статус: Offline
| 0,395.
МАТЕМАТИКA АСЯ 633432074
Очистите голову от мусора и задница сама избавится от проблем.
Интуиция - это способность головы чувствовать задницей(с)
|
| |
| |
| Avrorasmera | Дата: Среда, 2010-11-24, 12:17 PM | Сообщение # 8 |
Бакалавр
Группа: Проверенные
Сообщений: 136
Репутация: 0
Замечания: 0%
Статус: Offline
Город: Санкт-Петербург
| Стоп,а как так получилось? Если следовать по формуле,написанной выше то получается другое число и очень большое
|
| |
| |
| maksimus | Дата: Среда, 2010-11-24, 12:19 PM | Сообщение # 9 |
Академик
Группа: Проверенные
Сообщений: 1190
Репутация: 961
Замечания: 0%
Статус: Offline
| не, все верно. 7*15*11*6=6930 25*26*27=17550 6930/17550=0,395 Добавлено (2010-11-24, 12:19 PM) --------------------------------------------- разобралась?
МАТЕМАТИКA АСЯ 633432074
Очистите голову от мусора и задница сама избавится от проблем.
Интуиция - это способность головы чувствовать задницей(с)
Сообщение отредактировал maksimus - Среда, 2010-11-24, 12:25 PM |
| |
| |
| Avrorasmera | Дата: Среда, 2010-11-24, 12:22 PM | Сообщение # 10 |
Бакалавр
Группа: Проверенные
Сообщений: 136
Репутация: 0
Замечания: 0%
Статус: Offline
Город: Санкт-Петербург
| а откуда взялась цифра 2963?
|
| |
| |
| Avrorasmera | Дата: Среда, 2010-11-24, 12:26 PM | Сообщение # 11 |
Бакалавр
Группа: Проверенные
Сообщений: 136
Репутация: 0
Замечания: 0%
Статус: Offline
Город: Санкт-Петербург
| ну вот теперь другое дело=-))))Спасибо большое=)))Извините если побеспокоила
Сообщение отредактировал Avrorasmera - Среда, 2010-11-24, 12:30 PM |
| |
| |
| maksimus | Дата: Среда, 2010-11-24, 12:27 PM | Сообщение # 12 |
Академик
Группа: Проверенные
Сообщений: 1190
Репутация: 961
Замечания: 0%
Статус: Offline
| а как большое-то получалось??????????????
МАТЕМАТИКA АСЯ 633432074
Очистите голову от мусора и задница сама избавится от проблем.
Интуиция - это способность головы чувствовать задницей(с)
|
| |
| |
| Avrorasmera | Дата: Среда, 2010-11-24, 12:30 PM | Сообщение # 13 |
Бакалавр
Группа: Проверенные
Сообщений: 136
Репутация: 0
Замечания: 0%
Статус: Offline
Город: Санкт-Петербург
| да нет,всё так и получалось как вы сосчитали=)Просто когда получила цифру 17550 показалась большой=))))но я просто не до конца тогда посчитала=)
|
| |
| |
| maksimus | Дата: Среда, 2010-11-24, 12:33 PM | Сообщение # 14 |
Академик
Группа: Проверенные
Сообщений: 1190
Репутация: 961
Замечания: 0%
Статус: Offline
| а... давайте почистим тему - уберите лишние посты, может, кому понадобится глянуть.
МАТЕМАТИКA АСЯ 633432074
Очистите голову от мусора и задница сама избавится от проблем.
Интуиция - это способность головы чувствовать задницей(с)
|
| |
| |
| Енот-потаскун__ | Дата: Четверг, 2010-11-25, 4:28 PM | Сообщение # 15 |
Почетный академик
Группа: Проверенные
Сообщений: 2739
Репутация: 2398
Замечания: 0%
Статус: Offline
| maksimus, а ты представляешь 4-е и так далее пространства?
|
| |
| |