|
С1...Только С1..
|
|
| KaDeaT | Дата: Вторник, 2011-04-26, 8:14 PM | Сообщение # 106 |
Нобелевский лауреат
Группа: Проверенные
Сообщений: 11169
Репутация: 1446
Замечания: 0%
Статус: Offline
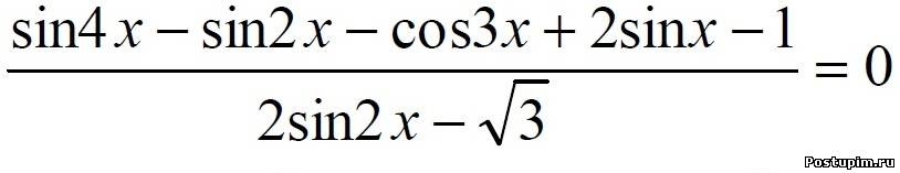
| А скажите кто нибудь ответ, я свериться хочу =))) Добавлено (2011-04-26, 8:14 PM) --------------------------------------------- По-моему (3*pi)/8 + pi*k
Обучение программированию
|
| |
| |
| Капелька | Дата: Вторник, 2011-04-26, 8:56 PM | Сообщение # 107 |
Абитуриент
Группа: Пользователи
Сообщений: 6
Репутация: 0
Замечания: 0%
Статус: Offline
Город: Омск
| KaDeaT,это правильно..у меня тоже такой получился.
|
| |
| |
| KaDeaT | Дата: Вторник, 2011-04-26, 10:20 PM | Сообщение # 108 |
Нобелевский лауреат
Группа: Проверенные
Сообщений: 11169
Репутация: 1446
Замечания: 0%
Статус: Offline
| А еще у кого нибудь? =)
Обучение программированию
|
| |
| |
| berdov | Дата: Вторник, 2011-05-03, 0:35 AM | Сообщение # 109 |
Абитуриент
Группа: Пользователи
Сообщений: 4
Репутация: 3
Замечания: 0%
Статус: Offline
Город: Москва
| 3pi/8 + pi*k - так и есть Под корнем не может быть ноль, ибо там (sin2x)/2 - это нули тангенса. А tg 2x не равно нулю - это ОДЗ. Остается 3pi/8 + pi*k.
www.berdov.ru - подготовка к ЕГЭ по математике
|
| |
| |
| AraikJan | Дата: Суббота, 2011-05-07, 6:19 PM | Сообщение # 110 |
|
Абитуриент
Группа: Пользователи
Сообщений: 18
Репутация: -10
Замечания: 0%
Статус: Offline
Город: Москва
| Что делать с числителем?
|
| |
| |
| KaDeaT | Дата: Суббота, 2011-05-07, 6:34 PM | Сообщение # 111 |
Нобелевский лауреат
Группа: Проверенные
Сообщений: 11169
Репутация: 1446
Замечания: 0%
Статус: Offline
| У нулю приравняй а 4 и 3 углы разложи на синус(косинус) суммы. Добавлено (2011-05-07, 6:27 PM) --------------------------------------------- А не нихуя не так, сгруппируй =))) синус 4х и син 2х -> разность синусов-> потом cos3x за скобки и там все поймешь =))) Добавлено (2011-05-07, 6:34 PM) --------------------------------------------- Корянов, ска, дает о себе знать 
Обучение программированию
|
| |
| |
| AraikJan | Дата: Суббота, 2011-05-07, 6:46 PM | Сообщение # 112 |
|
Абитуриент
Группа: Пользователи
Сообщений: 18
Репутация: -10
Замечания: 0%
Статус: Offline
Город: Москва
| правильно я всё сделал? щас полностью сделаю и выложу
Сообщение отредактировал AraikJan - Суббота, 2011-05-07, 6:50 PM |
| |
| |
| KaDeaT | Дата: Суббота, 2011-05-07, 6:50 PM | Сообщение # 113 |
Нобелевский лауреат
Группа: Проверенные
Сообщений: 11169
Репутация: 1446
Замечания: 0%
Статус: Offline
| почти, ты за скобки неправильно вынес там кос3х+1 будет, плюс не учел одз, и не написал ответ. переделывай
Обучение программированию
|
| |
| |
| AraikJan | Дата: Суббота, 2011-05-07, 7:01 PM | Сообщение # 114 |
|
Абитуриент
Группа: Пользователи
Сообщений: 18
Репутация: -10
Замечания: 0%
Статус: Offline
Город: Москва
| Вот мое решение. Ответ не правильный, точнее не полный. Что-то я сделал не так.
|
| |
| |
| KaDeaT | Дата: Суббота, 2011-05-07, 7:06 PM | Сообщение # 115 |
Нобелевский лауреат
Группа: Проверенные
Сообщений: 11169
Репутация: 1446
Замечания: 0%
Статус: Offline
| во второй ответ подставляй m пока не начнут повторяться точки. и посмотри какие войдут в одз, а какие нет.
Обучение программированию
|
| |
| |
| AraikJan | Дата: Суббота, 2011-05-07, 7:21 PM | Сообщение # 116 |
|
Абитуриент
Группа: Пользователи
Сообщений: 18
Репутация: -10
Замечания: 0%
Статус: Offline
Город: Москва
| подставил, а дальше что делать?
|
| |
| |
| KaDeaT | Дата: Суббота, 2011-05-07, 7:24 PM | Сообщение # 117 |
Нобелевский лауреат
Группа: Проверенные
Сообщений: 11169
Репутация: 1446
Замечания: 0%
Статус: Offline
| AraikJan, на окружности отмечай их и смотри какие подойдут в одз. и возьми еще штуки 3-4
Обучение программированию
|
| |
| |
| AraikJan | Дата: Суббота, 2011-05-07, 7:28 PM | Сообщение # 118 |
|
Абитуриент
Группа: Пользователи
Сообщений: 18
Репутация: -10
Замечания: 0%
Статус: Offline
Город: Москва
| у меня все ответы такие же, кроме того, который по середине. Как его получить?
|
| |
| |
| KaDeaT | Дата: Суббота, 2011-05-07, 7:32 PM | Сообщение # 119 |
Нобелевский лауреат
Группа: Проверенные
Сообщений: 11169
Репутация: 1446
Замечания: 0%
Статус: Offline
| Умммм. m=1 х=pi/3 +2*pi/3=pi
Обучение программированию
|
| |
| |
| AraikJan | Дата: Суббота, 2011-05-07, 7:35 PM | Сообщение # 120 |
|
Абитуриент
Группа: Пользователи
Сообщений: 18
Репутация: -10
Замечания: 0%
Статус: Offline
Город: Москва
| спасибо за помощь, теперь полностью разобрался
|
| |
| |