|
Сижу на егэ. Помогите.
|
|
| ScReaMbI4 | Дата: Понедельник, 2011-06-06, 10:27 AM | Сообщение # 16 |
|
Абитуриент
Группа: Пользователи
Сообщений: 3
Репутация: 0
Замечания: 0%
Статус: Offline
| Норм друга подставил
|
| |
| |
| Barin65 | Дата: Понедельник, 2011-06-06, 10:30 AM | Сообщение # 17 |
|
Студент
Группа: Пользователи
Сообщений: 44
Репутация: -1
Замечания: 0%
Статус: Offline
| 2. У=х (в кубе )-х(в квадрате)-8х+4. на отрезке [1,7] ответ -8Добавлено (2011-06-06, 10:30 Am) ---------------------------------------------
Quote (ScReaMbI4) Норм друга подставил Не друга а какогото парня несмышленного из за вредности.
Русский 64 Информатика 66 Математика 56 физика 65
Поступил СГТУ ЭФ Вторая сессия Математика-5 Физика-5 Химия-4 Информатика-5 Практика...
|
| |
| |
| Kekson777 | Дата: Понедельник, 2011-06-06, 10:33 AM | Сообщение # 18 |
Студент
Группа: Пользователи
Сообщений: 99
Репутация: -17
Замечания: 20%
Статус: Offline
| Красава Бен)
народ нуже помогите!))
У=х(в кубе )-х(в квадрате)-8х+4. на отрезке [1,7] наименьшее значение? ответ 2?
|
| |
| |
| healer | Дата: Понедельник, 2011-06-06, 10:36 AM | Сообщение # 19 |
Академик
Группа: Проверенные
Сообщений: 1399
Репутация: 864
Замечания: 0%
Статус: Offline
| ben2011, ну друга и че? запалят-ему жопа
бонч 3 курс
|
| |
| |
| dimasik_LSD | Дата: Понедельник, 2011-06-06, 10:36 AM | Сообщение # 20 |
|
Абитуриент
Группа: Пользователи
Сообщений: 6
Репутация: 0
Замечания: 0%
Статус: Offline
| Доброе утро!!!! Пожалуйста помогите решить С6 моей девушке...Вот задание:...На доске написано более 36,но менее 48целых чисел.среднее арифмет этих чисел равно -5, а среднее арифмет всех положительных из них равно 6, а среднее арифмет всех отрицат из них равно -12.Сколько чисел написано на доске? Каких чисел написано больше положит или отрицат? Какое наибольшее количество положит чисел может быть среди них?
Заранее огромное спасибо!!!
|
| |
| |
| lover-x2x | Дата: Понедельник, 2011-06-06, 1:13 PM | Сообщение # 21 |
|
Абитуриент
Группа: Пользователи
Сообщений: 5
Репутация: 0
Замечания: 0%
Статус: Offline
| Помогите плиз (6син^2х+5синх -4) * корень -7косх равно 0
|
| |
| |
| Amira95 | Дата: Понедельник, 2011-06-06, 1:21 PM | Сообщение # 22 |
|
Абитуриент
Группа: Пользователи
Сообщений: 4
Репутация: 0
Замечания: 0%
Статус: Offline
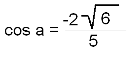
| Люди, пожалуйста помогите с задачей. время на исходе. найти синус альфа, если косинус альфа = - 2 корень из 6\5 и альфа принадлежит промежутку от Пи\2 до ПиДобавлено (2011-06-06, 1:21 PM) --------------------------------------------- пожааааалуйста 
|
| |
| |
| Krolick | Дата: Понедельник, 2011-06-06, 1:32 PM | Сообщение # 23 |
Нобелевский лауреат
Группа: Проверенные
Сообщений: 3036
Репутация: 811
Замечания: 0%
Статус: Offline
Город: Санкт-Петербург
| lover-x2x, e меня такое же примерно было (я уже дома) я решила так: 1) 6sin^2 x + 5 sin x - 4 = 0 или 2) корень -7cos x = 0 ОДЗ: cos x < или = 0 1) 6t^2 + 5t - 4 = 0 D= 25+4*4*6=25+96=121 t1=-4/3 (не подходит, т.к. меньше -1) t2=1/2
sin x = 1/2 x = (-1)^n pi/6 + pi n проверим: cos pi/6>0, не подходит по одз 2) cos x = 0 x = pi/2 + pi k
я так решила
Добавлено (2011-06-06, 1:32 PM) --------------------------------------------- то, что в ответ, выделено жирным
СПбГУ юрфак 3 курс
Сообщение отредактировал Krolick - Понедельник, 2011-06-06, 1:52 PM |
| |
| |
| Krolick | Дата: Понедельник, 2011-06-06, 1:37 PM | Сообщение # 24 |
Нобелевский лауреат
Группа: Проверенные
Сообщений: 3036
Репутация: 811
Замечания: 0%
Статус: Offline
Город: Санкт-Петербург
| Amira95, вот такое условие? Добавлено (2011-06-06, 1:37 PM) --------------------------------------------- мне кажется, косинус точно будет отрицательный
СПбГУ юрфак 3 курс
|
| |
| |
| lover-x2x | Дата: Понедельник, 2011-06-06, 1:42 PM | Сообщение # 25 |
|
Абитуриент
Группа: Пользователи
Сообщений: 5
Репутация: 0
Замечания: 0%
Статус: Offline
| Большое спс) Добавлено (2011-06-06, 1:42 PM) --------------------------------------------- В правильной шести угольной призме ABCDEFA1B1C1D1E1F1 Стороны основания которой равны 3 а боковые удара равны 4 найдите расстояние от точки С до прямой Д1Е1 Случайно не знаешь?
|
| |
| |
| Krolick | Дата: Понедельник, 2011-06-06, 1:43 PM | Сообщение # 26 |
Нобелевский лауреат
Группа: Проверенные
Сообщений: 3036
Репутация: 811
Замечания: 0%
Статус: Offline
Город: Санкт-Петербург
| или такое условие?
Добавлено (2011-06-06, 1:43 PM) --------------------------------------------- lover-x2x, не, С2 уже не для меня)
СПбГУ юрфак 3 курс
Сообщение отредактировал Krolick - Понедельник, 2011-06-06, 1:44 PM |
| |
| |
| сюрприз | Дата: Понедельник, 2011-06-06, 1:45 PM | Сообщение # 27 |
Бакалавр
Группа: Проверенные
Сообщений: 117
Репутация: 25
Замечания: 0%
Статус: Offline
| для Amira95 ответ в в7) 0,2
|
| |
| |
| Krolick | Дата: Понедельник, 2011-06-06, 1:45 PM | Сообщение # 28 |
Нобелевский лауреат
Группа: Проверенные
Сообщений: 3036
Репутация: 811
Замечания: 0%
Статус: Offline
Город: Санкт-Петербург
| Amira95, если 2-й вариант условия, то решение вот (не уверена, что правильно, но я так решила)
СПбГУ юрфак 3 курс
Сообщение отредактировал Krolick - Понедельник, 2011-06-06, 2:00 PM |
| |
| |
| lover-x2x | Дата: Понедельник, 2011-06-06, 1:45 PM | Сообщение # 29 |
|
Абитуриент
Группа: Пользователи
Сообщений: 5
Репутация: 0
Замечания: 0%
Статус: Offline
| В треугольнике авс ад бисектриса, угол равен 97 градусов угол сад равен 5 градусам найдите угол B.А может этот знаешь?=)
|
| |
| |
| gezczu | Дата: Понедельник, 2011-06-06, 1:47 PM | Сообщение # 30 |
Почетный академик
Группа: Проверенные
Сообщений: 2696
Репутация: 1438
Замечания: 0%
Статус: Offline
Город: Москва
| Quote (lover-x2x) В правильной шести угольной призме ABCDEFA1B1C1D1E1F1 Стороны основания которой равны 3 а боковые удара равны 4 найдите расстояние от точки С до прямой Д1Е1 Случайно не знаешь? У меня есть решение этой задачи, только расстояние от B до C1D1. Просто буквы немного другие. Надо?
Мехмат МГУ 1 курс
|
| |
| |