КИМ резервного дня - Страница 2 - ФОРУМ Набор курьеров Яндекс.Еда до 3400 руб. в день

Коллективный блог
Форум




Войти
или
Зарегистрироваться
Новые сообщения · Участники · Правила форума · Поиск по форуму · RSS
  • Страница 2 из 2
  • «
  • 1
  • 2
Архив - только для чтения
КИМ резервного дня
rtkДата: Понедельник, 2011-06-20, 10:31 PM | Сообщение # 16
Бакалавр
Группа: Проверенные
Сообщений: 192
Репутация: 82
Награды: 4
Замечания: 0%
Статус: Offline
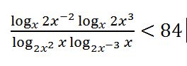
в с3 там основание логарифма наверху какое?
 
arnadikaДата: Понедельник, 2011-06-20, 10:32 PM | Сообщение # 17
Академик
Группа: Проверенные
Сообщений: 1846
Репутация: 2291
Награды: 333
Замечания: 0%
Статус: Offline
Quote (rtk)
в с3 там основание логарифма наверху какое?

икс
 
rtkДата: Понедельник, 2011-06-20, 10:48 PM | Сообщение # 18
Бакалавр
Группа: Проверенные
Сообщений: 192
Репутация: 82
Награды: 4
Замечания: 0%
Статус: Offline
Что-то разобрать не могу буковки, такое? А то сяду решать неправильное, хех.
Прикрепления: 9356905.jpg (12.7 Kb)


Сообщение отредактировал rtk - Понедельник, 2011-06-20, 10:50 PM
 
arnadikaДата: Понедельник, 2011-06-20, 10:53 PM | Сообщение # 19
Академик
Группа: Проверенные
Сообщений: 1846
Репутация: 2291
Награды: 333
Замечания: 0%
Статус: Offline
rtk, да, так.
 
Bot-A-niKДата: Понедельник, 2011-06-20, 11:54 PM | Сообщение # 20
Бакалавр
Группа: Проверенные
Сообщений: 137
Репутация: 99
Награды: 1
Замечания: 0%
Статус: Offline
arnadika, как математику написала (по своим ощущениям)?

егэ 2011: мрф=100+79+81=260
МехМат МГУ '17
 
maksimusДата: Понедельник, 2011-06-20, 11:59 PM | Сообщение # 21
Академик
Группа: Проверенные
Сообщений: 1190
Репутация: 961
Награды: 72
Замечания: 0%
Статус: Offline
по моим на 96. smile
smile


МАТЕМАТИКA АСЯ 633432074

Очистите голову от мусора и задница сама избавится от проблем.

Интуиция - это способность головы чувствовать задницей(с)
 
arnadikaДата: Вторник, 2011-06-21, 0:05 AM | Сообщение # 22
Академик
Группа: Проверенные
Сообщений: 1846
Репутация: 2291
Награды: 333
Замечания: 0%
Статус: Offline
Quote (Bot-A-niK)
arnadika, как математику написала (по своим ощущениям)?

допустила несколько крупных ляпов. как умудрилась - сама не знаю)

Quote (maksimus)
по моим на 96.

очееень сильно на это надеюсь))))

Добавлено (2011-06-21, 0:01 Am)
---------------------------------------------
вообще, хотелось бы сдать математику лучше русского именно потому, что иначе - несправедливо. я ведь её лучше русского знаю.

Добавлено (2011-06-21, 0:05 Am)
---------------------------------------------
впереди - внутренний. страшно.

 
Bot-A-niKДата: Вторник, 2011-06-21, 0:05 AM | Сообщение # 23
Бакалавр
Группа: Проверенные
Сообщений: 137
Репутация: 99
Награды: 1
Замечания: 0%
Статус: Offline
А чего олимпиады не писала?

егэ 2011: мрф=100+79+81=260
МехМат МГУ '17
 
arnadikaДата: Вторник, 2011-06-21, 9:48 AM | Сообщение # 24
Академик
Группа: Проверенные
Сообщений: 1846
Репутация: 2291
Награды: 333
Замечания: 0%
Статус: Offline
Quote (Bot-A-niK)
А чего олимпиады не писала?

я выпускница прошлого года.

мне уже нельзя (

Добавлено (2011-06-21, 9:48 Am)
---------------------------------------------
http://alexlarin.net/ege/2011/kritreserve.pdf

Уже есть критерии. Быстро, однако.

 
KaDeaTДата: Вторник, 2011-06-21, 3:02 PM | Сообщение # 25
Нобелевский лауреат
Группа: Проверенные
Сообщений: 11169
Репутация: 1446
Награды: 136
Замечания: 0%
Статус: Offline
Не сложный вариант однако, и задания похожи первые на основной экз.

Обучение программированию
 
vnaumkinДата: Вторник, 2011-06-21, 3:07 PM | Сообщение # 26
Нобелевский лауреат
Группа: Проверенные
Сообщений: 8598
Репутация: 2655
Награды: 58
Замечания: 0%
Статус: Offline
Город: ⒾⓈⓉⓇⒶ
В интернете расползается все smile

МАИ 3 факультет 5 курс
Регистрируйтесь на Dropbox - 2,5 Гб совершенно бесплатно!
 
arnadikaДата: Вторник, 2011-06-21, 3:57 PM | Сообщение # 27
Академик
Группа: Проверенные
Сообщений: 1846
Репутация: 2291
Награды: 333
Замечания: 0%
Статус: Offline
Quote (KaDeaT)
Не сложный вариант однако,

С5 сложнее основного дня. Значительно сложнее.

Quote (KaDeaT)
адания похожи первые на основной экз.

только С1,С2

С3 - длиннее.
 
KaDeaTДата: Вторник, 2011-06-21, 4:02 PM | Сообщение # 28
Нобелевский лауреат
Группа: Проверенные
Сообщений: 11169
Репутация: 1446
Награды: 136
Замечания: 0%
Статус: Offline
Quote (arnadika)
С5 сложнее основного дня. Значительно сложнее.

на это задание я не смотрю.

Quote (arnadika)
только С1,С2

С3 - длиннее.


фигня, все равно не сложно.


Обучение программированию

Сообщение отредактировал KaDeaT - Вторник, 2011-06-21, 4:09 PM
 
summersgoneДата: Воскресенье, 2011-06-26, 5:01 PM | Сообщение # 29
Аспирант
Группа: Проверенные
Сообщений: 462
Репутация: 186
Награды: 2
Замечания: 0%
Статус: Offline
с5 чутка потяжелее.

митол \m/

http://vkontakte.ru/id5851252

what goes around comes around

финашечка. ФиК
 
  • Страница 2 из 2
  • «
  • 1
  • 2
Поиск: