Реальные ответы ЕГЭ - Страница 8 - ФОРУМ Набор курьеров Яндекс.Еда до 3400 руб. в день

Коллективный блог
Форум




Войти
или
Зарегистрироваться
Новые сообщения · Участники · Правила форума · Поиск по форуму · RSS
Архив - только для чтения
Реальные ответы ЕГЭ
LibovskiДата: Вторник, 2011-06-14, 11:09 AM | Сообщение # 106
Абитуриент
Группа: Пользователи
Сообщений: 4
Репутация: 0
Награды: 0
Замечания: 0%
Статус: Offline
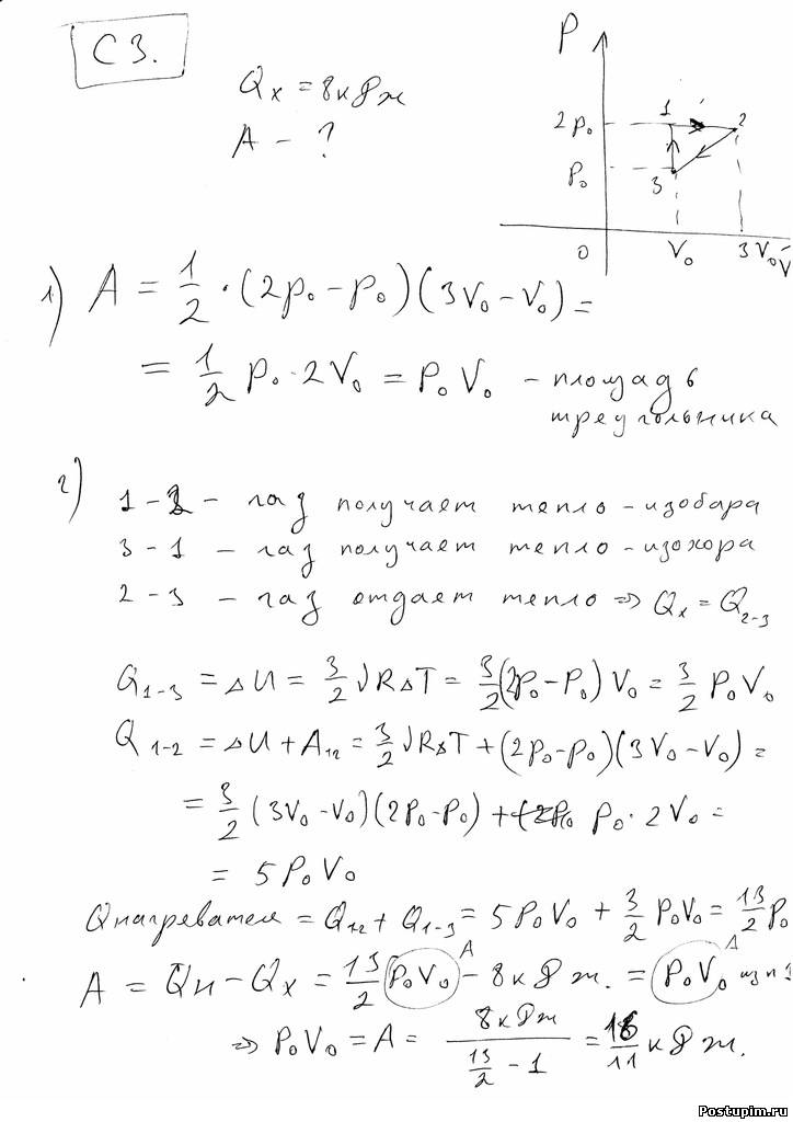
решение C3, примите
Прикрепления: 2455478.jpg (109.4 Kb)


Сообщение отредактировал Libovski - Вторник, 2011-06-14, 11:10 AM
 
RebelДата: Вторник, 2011-06-14, 11:17 AM | Сообщение # 107
Абитуриент
Группа: Пользователи
Сообщений: 11
Репутация: 0
Награды: 0
Замечания: 0%
Статус: Offline
krocodil7632
ну что, это решил 8314536.jpg?
 
RomapuoДата: Вторник, 2011-06-14, 11:18 AM | Сообщение # 108
Студент
Группа: Пользователи
Сообщений: 57
Репутация: 0
Награды: 0
Замечания: 0%
Статус: Offline
Город: Ижевск
В ходе адиобат. процесса внутренняя энергия одного моля разреженного гелия уменьшается. Как изменится температура гелия его давление и объем

кто может помочь???
это B1


Будь, что будет!

Сообщение отредактировал Romapuo - Вторник, 2011-06-14, 11:20 AM
 
нораДата: Вторник, 2011-06-14, 11:21 AM | Сообщение # 109
Студент
Группа: Пользователи
Сообщений: 74
Репутация: 0
Награды: 0
Замечания: 0%
Статус: Offline
Город: кисловодск
По морю идет корабль скорость которого 30 узлов. в этом случаи 1.Сумма сил приложенного к короблю =0.2 Сила тяжести приложенного кораблю уравновешено силе тяги винтов. 3 сила Архимеда уравновешена силы тяги винтов. 4 сила трения корабля о воду уравновешено силе Архимеда.
 
fopek1Дата: Вторник, 2011-06-14, 11:23 AM | Сообщение # 110
Абитуриент
Группа: Пользователи
Сообщений: 11
Репутация: 0
Награды: 0
Замечания: 0%
Статус: Offline
Пример дифракции это голубое небо?
 
нораДата: Вторник, 2011-06-14, 11:45 AM | Сообщение # 111
Студент
Группа: Пользователи
Сообщений: 74
Репутация: 0
Награды: 0
Замечания: 0%
Статус: Offline
Город: кисловодск
к водяной капле имевший электрический заряд +3q присоединилась капля с зарядом +2q. Каким стал электрический заряд вновь образованной капли?
 
TuralllДата: Вторник, 2011-06-14, 11:47 AM | Сообщение # 112
Абитуриент
Группа: Пользователи
Сообщений: 18
Репутация: 0
Награды: 0
Замечания: 0%
Статус: Offline
РЕшаю Егэ брату, вот нашел сайт где С5 его 1 в 1 , и еще там первая самая задача видел в вариантах про рельсы вроде это то что надо. Это егэ 2009 но задания совпали http://sverh-zadacha.ucoz.ru/ege/shabalin/elmag/elmag.html . и еще есть простенькая задача настолько что я забыл как её решать помогите вот она : В калориметре находится 1 кг льда при температуре -5 градусов цельсия . Какую массу воды , имеющей температуру 20 грудусов цельсия , нужно добавить в калориметр, чтобы температура его содержимого после усановления равновесия оказалась -2 градуса цельсия ? теплообменом с окр средой и темпоемкостью колориметра пренебречь.
 
joker-91Дата: Вторник, 2011-06-14, 11:57 AM | Сообщение # 113
Абитуриент
Группа: Пользователи
Сообщений: 1
Репутация: 0
Награды: 0
Замечания: 0%
Статус: Offline
На гладком столе лежит кусок гибкого провода с низким сопротивлением, подключенный в точках А и С к цепи из источника тока и ключа К. Система находится в сильном вертикальном однородном магнитном поле В, направленном вниз. Какую форму пример провод после замыкания ключа К? Ответ поясните, указав, какие физичат явления и закономерности бы использовали для объяснения.

помогите пожалуйста!!!!!!!!!!!!
 
нораДата: Вторник, 2011-06-14, 12:07 PM | Сообщение # 114
Студент
Группа: Пользователи
Сообщений: 74
Репутация: 0
Награды: 0
Замечания: 0%
Статус: Offline
Город: кисловодск
на тело движущееся прямолинейно в инерциальной системе отсчета, действует постоянная сила 2н. за какое изменение импульса тела составит 4 кг*м/с?
 
ShamaДата: Вторник, 2011-06-14, 12:08 PM | Сообщение # 115
Студент
Группа: Пользователи
Сообщений: 51
Репутация: 10
Награды: 0
Замечания: 0%
Статус: Offline
Помогите пожалуйста с b3, никак не пойму
Прикрепления: 7107822.jpg (95.6 Kb)
 
cerfer321Дата: Вторник, 2011-06-14, 12:11 PM | Сообщение # 116
Абитуриент
Группа: Пользователи
Сообщений: 16
Репутация: 0
Награды: 0
Замечания: 0%
Статус: Offline
помогите плиз. что разберете пжлста помогите.

Сообщение отредактировал cerfer321 - Вторник, 2011-06-14, 1:57 PM
 
morfisshihanДата: Вторник, 2011-06-14, 12:13 PM | Сообщение # 117
Абитуриент
Группа: Пользователи
Сообщений: 12
Репутация: 0
Награды: 0
Замечания: 0%
Статус: Offline
Город: Кумертау
помогите плииииииииииииз!!!!!! cry
 
morfisshihanДата: Вторник, 2011-06-14, 12:14 PM | Сообщение # 118
Абитуриент
Группа: Пользователи
Сообщений: 12
Репутация: 0
Награды: 0
Замечания: 0%
Статус: Offline
Город: Кумертау
плиииииииииииииииз

Сообщение отредактировал morfisshihan - Четверг, 2011-06-16, 11:29 AM
 
anangelДата: Вторник, 2011-06-14, 12:15 PM | Сообщение # 119
Абитуриент
Группа: Пользователи
Сообщений: 7
Репутация: 0
Награды: 0
Замечания: 0%
Статус: Offline
Грузы массами М=1кг и m связаны легкой нерастяжимой нитью,брошеной через блок,по которому пить может скользить без трения.Груз массой М находитсть на шероховатой наклонной плоскости (угол наклона плоскости к горизонту
30,коэффецент трения u=0.3)чему равно минимальное значение массы m,при котором система грузов еще не выходит из первоначального состояния покоя? РЕШИТЕ ПЛИЗ
 
VladqДата: Вторник, 2011-06-14, 12:18 PM | Сообщение # 120
Нобелевский лауреат
Группа: Проверенные
Сообщений: 8014
Репутация: 4798
Награды: 247
Замечания: 0%
Статус: Offline
morfisshihan, молодец. ким с ФИО выложили. удаляейте немедленно.

Добавлено (2011-06-14, 12:18 PM)
---------------------------------------------
cerfer321, номер кима видно. удаляйте файл.

 
Поиск: