c5 - ФОРУМ Набор курьеров Яндекс.Еда до 3400 руб. в день

Коллективный блог
Форум




Войти
или
Зарегистрироваться
Новые сообщения · Участники · Правила форума · Поиск по форуму · RSS
  • Страница 1 из 1
  • 1
Архив - только для чтения
c5
olchikaДата: Суббота, 2012-06-02, 12:41 PM | Сообщение # 1
Абитуриент
Группа: Пользователи
Сообщений: 12
Репутация: 0
Награды: 0
Замечания: 0%
Статус: Offline
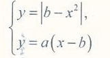
Нашла с5. Не представляю как решать, подскажите.
Найдите все значения параметра b, при которых система имеет решение при любом значении параметра a.

Пожалуйста, подскажите.
Прикрепления: 5777261.png (7.1 Kb)
 
HellkoДата: Суббота, 2012-06-02, 1:18 PM | Сообщение # 2
Академик
Группа: Проверенные
Сообщений: 1340
Репутация: 362
Награды: 26
Замечания: 0%
Статус: Offline
второе уравнение - прямая.
Всегда проходит через точку x=b y=0 (подставь x=b и а сократится)
Тогда и первая парабола тоже должна проходить через эту точку, чтобы было одно 100% решение.
y=|b-x^2| - подставим нашу точку x=b, y=0
0=|b-b^2|
0=b-b^2
b(b-1)=0
b=0 или b=1 - ответ


Егэ 2012:
М: 92
Ф: 90


Сообщение отредактировал Hellko - Суббота, 2012-06-02, 1:22 PM
 
fibbanachiДата: Воскресенье, 2012-06-03, 5:58 PM | Сообщение # 3
Студент
Группа: Пользователи
Сообщений: 92
Репутация: 20
Награды: 1
Замечания: 0%
Статус: Offline
2x-a+(x-3)*|х-а|=C
Найти все значения параметра а, при которых уравнение имеет нечетное число корней при каждом С.

Кто-нибудь подскажите)


МФТИ ФРТК
 
maksimusДата: Воскресенье, 2012-06-03, 6:32 PM | Сообщение # 4
Академик
Группа: Проверенные
Сообщений: 1190
Репутация: 961
Награды: 72
Замечания: 0%
Статус: Offline
погоди полчасика

МАТЕМАТИКA АСЯ 633432074

Очистите голову от мусора и задница сама избавится от проблем.

Интуиция - это способность головы чувствовать задницей(с)
 
HellkoДата: Воскресенье, 2012-06-03, 6:42 PM | Сообщение # 5
Академик
Группа: Проверенные
Сообщений: 1340
Репутация: 362
Награды: 26
Замечания: 0%
Статус: Offline
Quote (fibbanachi)
Кто-нибудь подскажите)

нечетное тут скорее всего только 1 корень.
А это бывает когда функция монотонно возрастает\убывает. т.е. не имеет экстремумов.


Егэ 2012:
М: 92
Ф: 90


Сообщение отредактировал Hellko - Воскресенье, 2012-06-03, 6:52 PM
 
maksimusДата: Воскресенье, 2012-06-03, 6:54 PM | Сообщение # 6
Академик
Группа: Проверенные
Сообщений: 1190
Репутация: 961
Награды: 72
Замечания: 0%
Статус: Offline
вот более полное решение, которое исследует все возможные случаи:
Прикрепления: 6494375.jpg (102.6 Kb) · 5188779.jpg (122.1 Kb)


МАТЕМАТИКA АСЯ 633432074

Очистите голову от мусора и задница сама избавится от проблем.

Интуиция - это способность головы чувствовать задницей(с)
 
maksimusДата: Воскресенье, 2012-06-03, 6:56 PM | Сообщение # 7
Академик
Группа: Проверенные
Сообщений: 1190
Репутация: 961
Награды: 72
Замечания: 0%
Статус: Offline
А вот более короткое, как правильно заметил Hellko, но я не увыерен, что оно достаточно обосновано, надо тут словеса придумать, почему не пожизненно три решения. Объяснять это надо через ветви парабол, по сути, через пределы. а так, тело решения - леГко.
Прикрепления: 2596054.jpg (149.2 Kb)


МАТЕМАТИКA АСЯ 633432074

Очистите голову от мусора и задница сама избавится от проблем.

Интуиция - это способность головы чувствовать задницей(с)
 
HellkoДата: Воскресенье, 2012-06-03, 7:02 PM | Сообщение # 8
Академик
Группа: Проверенные
Сообщений: 1340
Репутация: 362
Награды: 26
Замечания: 0%
Статус: Offline
1<=a<=5 получилось
о правильно.


Егэ 2012:
М: 92
Ф: 90


Сообщение отредактировал Hellko - Воскресенье, 2012-06-03, 7:03 PM
 
maksimusДата: Воскресенье, 2012-06-03, 7:03 PM | Сообщение # 9
Академик
Группа: Проверенные
Сообщений: 1190
Репутация: 961
Награды: 72
Замечания: 0%
Статус: Offline
ну да, верно.

МАТЕМАТИКA АСЯ 633432074

Очистите голову от мусора и задница сама избавится от проблем.

Интуиция - это способность головы чувствовать задницей(с)
 
HellkoДата: Воскресенье, 2012-06-03, 7:14 PM | Сообщение # 10
Академик
Группа: Проверенные
Сообщений: 1340
Репутация: 362
Награды: 26
Замечания: 0%
Статус: Offline
Может как-то доказать что нет разрывов. Я незнаю как. Итак просто видно что их нет.

Егэ 2012:
М: 92
Ф: 90
 
maksimusДата: Воскресенье, 2012-06-03, 7:15 PM | Сообщение # 11
Академик
Группа: Проверенные
Сообщений: 1190
Репутация: 961
Награды: 72
Замечания: 0%
Статус: Offline
непрерывность то очевидна. одз совпадает с R. А вот про то, что не три корня..... я так и не сформулировал, да инекогда пока.

МАТЕМАТИКA АСЯ 633432074

Очистите голову от мусора и задница сама избавится от проблем.

Интуиция - это способность головы чувствовать задницей(с)
 
fibbanachiДата: Воскресенье, 2012-06-03, 9:46 PM | Сообщение # 12
Студент
Группа: Пользователи
Сообщений: 92
Репутация: 20
Награды: 1
Замечания: 0%
Статус: Offline
Спасибо большое!

МФТИ ФРТК
 
  • Страница 1 из 1
  • 1
Поиск: