:'( ЗАДАЧА С3 - ФОРУМ Набор курьеров Яндекс.Еда до 3400 руб. в день

Коллективный блог
Форум




Войти
или
Зарегистрироваться
Новые сообщения · Участники · Правила форума · Поиск по форуму · RSS
  • Страница 1 из 1
  • 1
Архив - только для чтения
:'( ЗАДАЧА С3
ren456Дата: Воскресенье, 2012-06-03, 7:58 PM | Сообщение # 1
Абитуриент
Группа: Пользователи
Сообщений: 6
Репутация: 0
Награды: 0
Замечания: 0%
Статус: Offline
Не знаю как решать такого типа задачи. Их много, а значит эта - не какая-нибудь замудренная, а четко имеющая решение. Кто знает, пожалуйста, напишите, как решать???
Пример:


Мое решение:


На последней строчке все и закончилось...
Если не сложно sad То пожалуйста на бумаге напишите свое решение, сфоткайте и скиньте сюда

Добавлено (2012-06-03, 7:58 PM)
---------------------------------------------
То есть в последних 2ух строчках приравнивание к нулю... ошибся
Прикрепления: 1989995.jpg (16.3 Kb) · 8465318.jpg (77.9 Kb)


Сообщение отредактировал ren456 - Воскресенье, 2012-06-03, 8:01 PM
 
EnterДата: Воскресенье, 2012-06-03, 8:15 PM | Сообщение # 2
Бакалавр
Группа: Проверенные
Сообщений: 174
Репутация: 4
Награды: 2
Замечания: 0%
Статус: Offline
с заменой на Т решается

Микроблоггер

метан+пропик, 1 курс
 
Nastusha))Дата: Воскресенье, 2012-06-03, 8:17 PM | Сообщение # 3
Академик
Группа: Проверенные
Сообщений: 1637
Репутация: 288
Награды: 12
Замечания: 0%
Статус: Offline
Город: СПБ
егэ 2010..мой вариант..
замените 5^-x^2 на t и попробуйте решить


Поступаю второй раз.В 2010 тут сидела, по фотке узнаете)
ЕГЭ 2012:Р+М+0=225 , Р+М+Ф=200. ФИНЭК, манагер, вечерка :D
Бывшая студентка питерского горного, так что если есть вопросы - задавайте))
 
EnterДата: Воскресенье, 2012-06-03, 8:18 PM | Сообщение # 4
Бакалавр
Группа: Проверенные
Сообщений: 174
Репутация: 4
Награды: 2
Замечания: 0%
Статус: Offline
кстати, вроде нормальное решение, но куда пропали квадраты? (log_7...>log_7 1) - в этой строчке беда

Микроблоггер

метан+пропик, 1 курс
 
maska17Дата: Воскресенье, 2012-06-03, 8:27 PM | Сообщение # 5
Абитуриент
Группа: Пользователи
Сообщений: 1
Репутация: 0
Награды: 0
Замечания: 0%
Статус: Offline
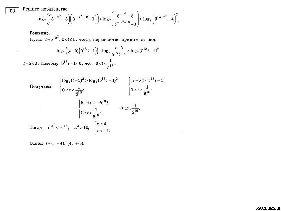
Вот решение)
Прикрепления: 0097326.jpg (34.6 Kb)
 
ren456Дата: Воскресенье, 2012-06-03, 8:29 PM | Сообщение # 6
Абитуриент
Группа: Пользователи
Сообщений: 6
Репутация: 0
Награды: 0
Замечания: 0%
Статус: Offline
Quote (Enter)
кстати, вроде нормальное решение, но куда пропали квадраты? (log_7...>log_7 1) - в этой строчке беда

квадраты вынес перед логарифмами по свойству "..." и двоечки сократились

Добавлено (2012-06-03, 8:29 PM)
---------------------------------------------

Quote (Enter)
с заменой на Т решается


Quote (Nastusha)))
егэ 2010..мой вариант..
замените 5^-x^2 на t и попробуйте решить

щас попробую
 
maksimusДата: Воскресенье, 2012-06-03, 8:30 PM | Сообщение # 7
Академик
Группа: Проверенные
Сообщений: 1190
Репутация: 961
Награды: 72
Замечания: 0%
Статус: Offline
когда квадраты выносишь, модуль не забыл?

МАТЕМАТИКA АСЯ 633432074

Очистите голову от мусора и задница сама избавится от проблем.

Интуиция - это способность головы чувствовать задницей(с)
 
ren456Дата: Воскресенье, 2012-06-03, 8:38 PM | Сообщение # 8
Абитуриент
Группа: Пользователи
Сообщений: 6
Репутация: 0
Награды: 0
Замечания: 0%
Статус: Offline
Quote (maska17)
Вот решение)

капец блин cry cry cry вообще ничего не понятно

Добавлено (2012-06-03, 8:38 PM)
---------------------------------------------

Quote (maksimus)
когда квадраты выносишь, модуль не забыл?

забыл похоже
 
  • Страница 1 из 1
  • 1
Поиск: