Будьте добры, помогите. - ФОРУМ Набор курьеров Яндекс.Еда до 3400 руб. в день

Коллективный блог
Форум




Войти
или
Зарегистрироваться
Новые сообщения · Участники · Правила форума · Поиск по форуму · RSS
  • Страница 1 из 1
  • 1
Архив - только для чтения
Будьте добры, помогите.
nisushДата: Четверг, 2012-06-07, 12:32 PM | Сообщение # 1
Абитуриент
Группа: Пользователи
Сообщений: 4
Репутация: 0
Награды: 0
Замечания: 0%
Статус: Offline
Заказ на 104 детали первый рабочий выполняет на 5 часов быстрее, чем второй. Сколько деталей в час делает первый рабочий, если известно, что он за час делает на 5 деталей больше?

В правильной четырехугольной пирамиде АВСВА1С1D1 стороны основания равны 1, а боковые рёбра равны 4. На ребре АА1 отмечена тчк Е так, что АЕ:ЕА1 (ае : еа один) =3:1
Найдите угол между проскостями АВС и ВЕD1


Сообщение отредактировал nisush - Четверг, 2012-06-07, 12:39 PM
 
nisushДата: Четверг, 2012-06-07, 12:43 PM | Сообщение # 2
Абитуриент
Группа: Пользователи
Сообщений: 4
Репутация: 0
Награды: 0
Замечания: 0%
Статус: Offline
Ап теме.
Ещё задание с3
Прикрепления: 3331058.png (9.2 Kb)
 
444-777Дата: Четверг, 2012-06-07, 12:46 PM | Сообщение # 3
Абитуриент
Группа: Пользователи
Сообщений: 6
Репутация: 1
Награды: 0
Замечания: 0%
Статус: Offline
c3 ответ: корень из 5
 
nisushДата: Четверг, 2012-06-07, 12:48 PM | Сообщение # 4
Абитуриент
Группа: Пользователи
Сообщений: 4
Репутация: 0
Награды: 0
Замечания: 0%
Статус: Offline
Quote (444-777)
c3 ответ: корень из 5

Спасибо большое )
 
444-777Дата: Четверг, 2012-06-07, 12:50 PM | Сообщение # 5
Абитуриент
Группа: Пользователи
Сообщений: 6
Репутация: 1
Награды: 0
Замечания: 0%
Статус: Offline
про рабочих: один делает 8, другой 13 деталей в час
 
in1972Дата: Четверг, 2012-06-07, 12:51 PM | Сообщение # 6
Студент
Группа: Пользователи
Сообщений: 29
Репутация: 1
Награды: 2
Замечания: 0%
Статус: Offline
X-число деталей в час делает второй рабочий, Х+5- первый.
(104/Х+5)+5=104/Х
104Х+5Х^2+25Х=104Х+5*104
Х^2+5-104=0 решите квадратное ур-ние, к Х прибавите 5- это ответ
 
olejka55Дата: Четверг, 2012-06-07, 12:52 PM | Сообщение # 7
Абитуриент
Группа: Пользователи
Сообщений: 15
Репутация: 0
Награды: 0
Замечания: 0%
Статус: Offline
444-777, не знаешь с3?
Прикрепления: 9522007.jpg (82.6 Kb)
 
nisushДата: Четверг, 2012-06-07, 12:53 PM | Сообщение # 8
Абитуриент
Группа: Пользователи
Сообщений: 4
Репутация: 0
Награды: 0
Замечания: 0%
Статус: Offline
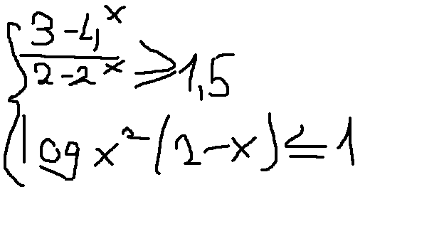
Ну и ещё одно.
Найдите все значения а, при каждом из которых уравнение на промежутке (0;+8) имеет более трёх корней.
Само ур-е в файле.
Прикрепления: 8572240.png (7.1 Kb)
 
in1972Дата: Четверг, 2012-06-07, 1:00 PM | Сообщение # 9
Студент
Группа: Пользователи
Сообщений: 29
Репутация: 1
Награды: 2
Замечания: 0%
Статус: Offline
помогите пожалуйста! Cos 2X+0,5=Cos^2X найти все корни принадлежащие -2пи до -пи/2
 
48wano48Дата: Четверг, 2012-06-07, 1:01 PM | Сообщение # 10
Абитуриент
Группа: Пользователи
Сообщений: 4
Репутация: 0
Награды: 0
Замечания: 0%
Статус: Offline
наименьшие значение y=(x-10)^2*(x+10)-10 на отрезке (9:18) помогите пожалуйста(((
 
444-777Дата: Четверг, 2012-06-07, 1:08 PM | Сообщение # 11
Абитуриент
Группа: Пользователи
Сообщений: 6
Репутация: 1
Награды: 0
Замечания: 0%
Статус: Offline
в с3 у меня получилось так: x больше 5
 
backfuckДата: Четверг, 2012-06-07, 1:21 PM | Сообщение # 12
Студент
Группа: Пользователи
Сообщений: 21
Репутация: 0
Награды: 0
Замечания: 0%
Статус: Offline
автор отправь пожалуйста ким с частью б очень очень нужно // просто задания .. решения не надо .. у подруги такой же вариант а отправить не может
 
  • Страница 1 из 1
  • 1
Поиск: