c3 плиииз - ФОРУМ Набор курьеров Яндекс.Еда до 3400 руб. в день

Коллективный блог
Форум




Войти
или
Зарегистрироваться
Новые сообщения · Участники · Правила форума · Поиск по форуму · RSS
  • Страница 1 из 1
  • 1
Архив - только для чтения
c3 плиииз
AstemirДата: Четверг, 2012-06-07, 1:53 PM | Сообщение # 1
Студент
Группа: Пользователи
Сообщений: 85
Репутация: 0
Награды: 0
Замечания: 0%
Статус: Offline
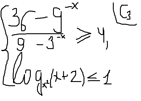
с3
Прикрепления: 5195188.png (13.7 Kb)
 
AtikinДата: Вторник, 2012-06-19, 7:30 PM | Сообщение # 2
Абитуриент
Группа: Пользователи
Сообщений: 4
Репутация: 0
Награды: 0
Замечания: 0%
Статус: Offline
я могу помочь)
сначала пишешь ОДЗ оно такое
х+2>0 x>-2;
x не равно +-1ж
х не равно 0;
9-3^-x не равно 0
x не равно 0;
первое решаешь с помощью приведения к общему знаменателю 9-3^-x получаем (36-9^-x-36+4*3^-x)/(9-3^-x) дальше заменим 3 в степени -х на t и решаем обычное квадратное не равенство методом интервалов (-t^2+4t)/(9-t)>=0 получаем прямую с точками 9,4 и 0 ответь для первого;

решаем второе его надо рассматривать как два случая первый когда x^2>1 и когда х^2<1 рассмотрим первый случай когда x^2>1 получаем уравнение X^2-x-2>=0 дальше находим два корня по дескриминанту(у меня получилось) -1 и 2 так как нам надо больше 0 то это два промежутка от (-бесконечности до -1) и от( 2 до + бесконечности); рассмотрим второй случай когда x^2<1 получаем тоже уровнение но с другим знаком x^2-x-2<=0 следовательно ответ получается от -1 до 2 вот дальше смотри все эти отрезки на одной прямой и включая ОДЗ выбираем нужный нам ответ
 
сюрпризДата: Суббота, 2012-06-23, 5:58 PM | Сообщение # 3
Бакалавр
Группа: Проверенные
Сообщений: 117
Репутация: 25
Награды: 7
Замечания: 0%
Статус: Offline
с3 (160-4^x)/(32-2^x)>=5
Прикрепления: 1001393.jpg (90.1 Kb)
 
IviGarДата: Суббота, 2012-06-23, 6:25 PM | Сообщение # 4
Студент
Группа: Пользователи
Сообщений: 60
Репутация: 0
Награды: 0
Замечания: 0%
Статус: Offline
/
Прикрепления: 6309812.jpg (47.7 Kb)
 
  • Страница 1 из 1
  • 1
Поиск: