Мои решения C5 ЕГЭ - ФОРУМ Набор курьеров Яндекс.Еда до 3400 руб. в день

Коллективный блог
Форум




Войти
или
Зарегистрироваться
Новые сообщения · Участники · Правила форума · Поиск по форуму · RSS
  • Страница 1 из 1
  • 1
Архив - только для чтения
Мои решения C5 ЕГЭ
timyr-guevДата: Понедельник, 2012-06-11, 12:19 PM | Сообщение # 1
Студент
Группа: Проверенные
Сообщений: 50
Репутация: 17
Награды: 1
Замечания: 0%
Статус: Offline
Город: Москва
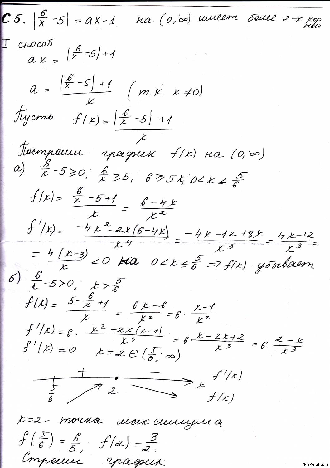
Хотелось бы поделится с Вами своими решениями задачи C5 ЕГЭ 2012 года. Задача не сложная, но особо интересной она мне не показалась. Мне вообще ЕГЭ этого года не понравилось. Сам я студент математического факультета)))
Прикрепления: 5995380.jpg (130.1 Kb) · 9475349.jpg (74.4 Kb) · 9357884.jpg (160.5 Kb)
 
HellkoДата: Понедельник, 2012-06-11, 12:41 PM | Сообщение # 2
Академик
Группа: Проверенные
Сообщений: 1340
Репутация: 362
Награды: 26
Замечания: 0%
Статус: Offline
Ты конечно молодец, но чтобы построить график
|6/x-5|+1
Думать и тем более считать производные вообще не стоит.


Егэ 2012:
М: 92
Ф: 90
 
timyr-guevДата: Понедельник, 2012-06-11, 12:42 PM | Сообщение # 3
Студент
Группа: Проверенные
Сообщений: 50
Репутация: 17
Награды: 1
Замечания: 0%
Статус: Offline
Город: Москва
Я не такой график строю посмотри лучше!! Это второе решение!
 
HellkoДата: Понедельник, 2012-06-11, 12:43 PM | Сообщение # 4
Академик
Группа: Проверенные
Сообщений: 1340
Репутация: 362
Награды: 26
Замечания: 0%
Статус: Offline
Quote (timyr-guev)
Я не такой график строю посмотри лучше!! Это второе решение!

да заметил уже.


Егэ 2012:
М: 92
Ф: 90


Сообщение отредактировал Hellko - Понедельник, 2012-06-11, 12:43 PM
 
timyr-guevДата: Понедельник, 2012-06-11, 12:44 PM | Сообщение # 5
Студент
Группа: Проверенные
Сообщений: 50
Репутация: 17
Награды: 1
Замечания: 0%
Статус: Offline
Город: Москва
Да не трудное.. во время егэ решал первым способом. а после вторым решил! Мне второе решение больше нравится.... А тебе?
 
HellkoДата: Понедельник, 2012-06-11, 12:48 PM | Сообщение # 6
Академик
Группа: Проверенные
Сообщений: 1340
Репутация: 362
Награды: 26
Замечания: 0%
Статус: Offline
Quote (timyr-guev)
Да не трудное.. во время егэ решал первым способом. а после вторым решил! Мне второе решение больше нравится.... А тебе?

я сразу вторым решал. Но вообще люблю способ когда можно нормально выразить а. Почему-то мало кто умеет исследовать функции.


Егэ 2012:
М: 92
Ф: 90
 
timyr-guevДата: Понедельник, 2012-06-11, 1:00 PM | Сообщение # 7
Студент
Группа: Проверенные
Сообщений: 50
Репутация: 17
Награды: 1
Замечания: 0%
Статус: Offline
Город: Москва
Я тоже люблю этот способ поэтому сразу и решил так.))) biggrin biggrin
 
  • Страница 1 из 1
  • 1
Поиск: