Бред! - ФОРУМ Набор курьеров Яндекс.Еда до 3400 руб. в день

Коллективный блог
Форум




Войти
или
Зарегистрироваться
Новые сообщения · Участники · Правила форума · Поиск по форуму · RSS
  • Страница 1 из 1
  • 1
Архив - только для чтения
Бред!
AlejnikoffДата: Вторник, 2012-06-19, 11:15 AM | Сообщение # 1
Студент
Группа: Пользователи
Сообщений: 42
Репутация: -1
Награды: 0
Замечания: 0%
Статус: Offline
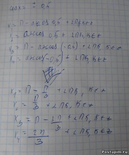
Получил 40 с копейками,хотя сделал минимум 12 под Б
Кроме того сделал с1 и с2.

Почему это решение не правильное?Что не так?
Прикрепления: 5864878.jpg (95.9 Kb)
 
dimkos007Дата: Вторник, 2012-06-19, 11:27 AM | Сообщение # 2
Абитуриент
Группа: Пользователи
Сообщений: 17
Репутация: 9
Награды: 1
Замечания: 0%
Статус: Offline
Alejnikoff, потому что cosx=+-1/2
это следующие корни:
x=+-pi/3+2pi*k
x=+-2pi/3+2pi*n

у тебя же только положительные решения


ЕГЭ 2012
Математика - 98
Русский - 100
Информатика - 76
Английский - 95
Физика


Сообщение отредактировал dimkos007 - Вторник, 2012-06-19, 11:29 AM
 
reyДата: Вторник, 2012-06-19, 11:28 AM | Сообщение # 3
Бакалавр
Группа: Проверенные
Сообщений: 111
Репутация: 12
Награды: 3
Замечания: 0%
Статус: Offline
Ответ.Забыли + - в каждой серии
 
AlejnikoffДата: Вторник, 2012-06-19, 11:32 AM | Сообщение # 4
Студент
Группа: Пользователи
Сообщений: 42
Репутация: -1
Награды: 0
Замечания: 0%
Статус: Offline
Решение то верно?т.е 1 балл должен быть?
=- ставил,там все получится по 2 одинаковых корня,те что как раз видны на скрине...Там ниже еще разбор корней,но решение то получается верное?
 
dimkos007Дата: Вторник, 2012-06-19, 11:34 AM | Сообщение # 5
Абитуриент
Группа: Пользователи
Сообщений: 17
Репутация: 9
Награды: 1
Замечания: 0%
Статус: Offline
преобразования верные, но уравнение решено неверно, так как получен неверный ответ
посмотри критерии - 1 балл за обоснованно полученный правильной ответ в а)
1 балл за обоснованно правильно отобранные корни в б)


ЕГЭ 2012
Математика - 98
Русский - 100
Информатика - 76
Английский - 95
Физика
 
AlejnikoffДата: Вторник, 2012-06-19, 11:36 AM | Сообщение # 6
Студент
Группа: Пользователи
Сообщений: 42
Репутация: -1
Награды: 0
Замечания: 0%
Статус: Offline
Напиши полное решение,не пойму...
 
AlejnikoffДата: Вторник, 2012-06-19, 11:52 AM | Сообщение # 7
Студент
Группа: Пользователи
Сообщений: 42
Репутация: -1
Награды: 0
Замечания: 0%
Статус: Offline
Вот,в итоге по два одинаковых,разве нет?
Прикрепления: 0652965.jpg (138.7 Kb)
 
  • Страница 1 из 1
  • 1
Поиск: