Мини конспекты для ЕГЭ - ФОРУМ Набор курьеров Яндекс.Еда до 3400 руб. в день

Коллективный блог
Форум




Войти
или
Зарегистрироваться
Новые сообщения · Участники · Правила форума · Поиск по форуму · RSS
  • Страница 1 из 2
  • 1
  • 2
  • »
Архив - только для чтения
Мини конспекты для ЕГЭ
naumskierДата: Воскресенье, 2012-06-10, 11:58 PM | Сообщение # 1
Абитуриент
Группа: Пользователи
Сообщений: 18
Репутация: 2
Награды: 0
Замечания: 0%
Статус: Offline
Город: Болгар
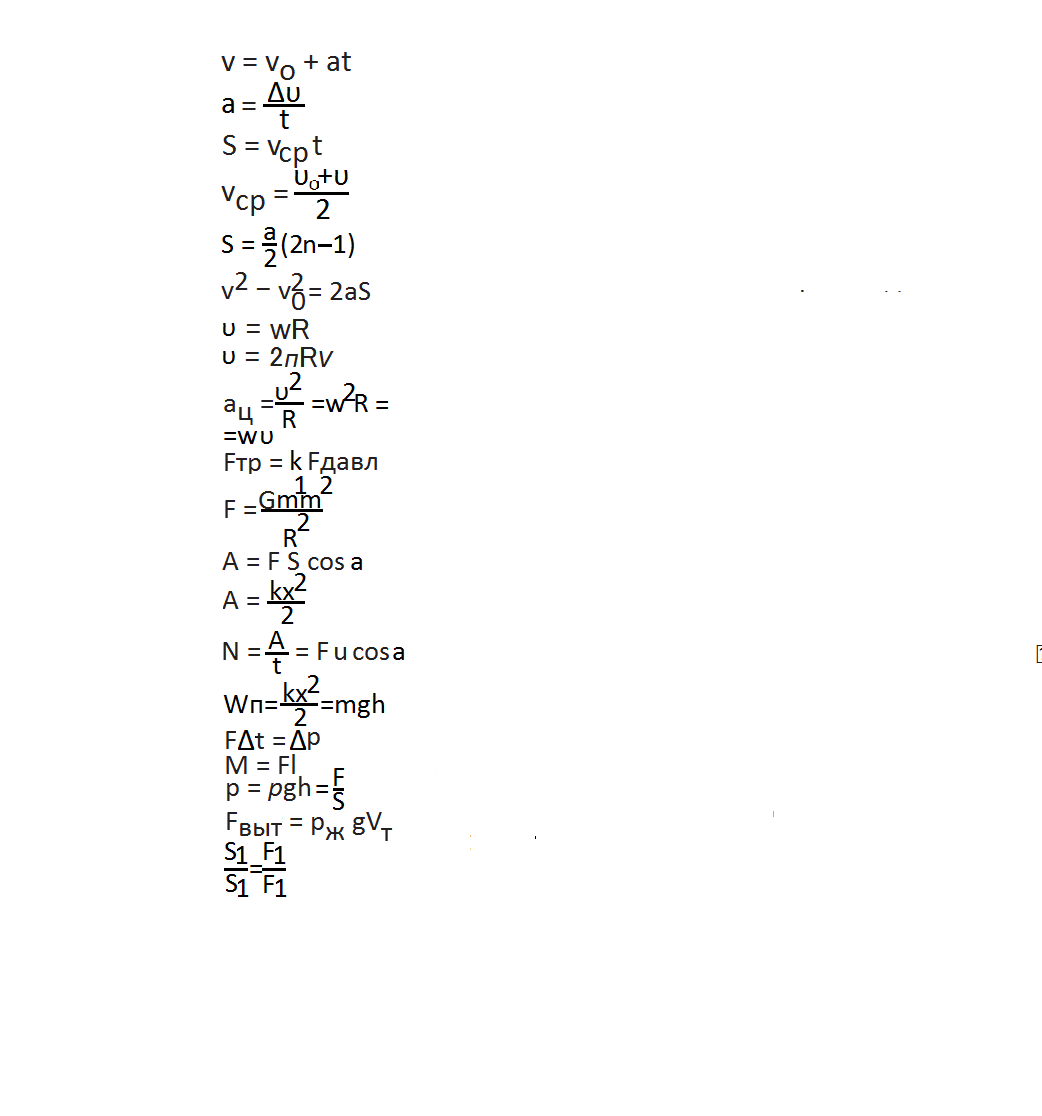
Сделал мини конспекты для ЕГЭ... пользуйтесь на здоровье)
пока выкладываю первую часть - механика. Остальные темы завтра и после завтра... Вообщем к ЕГЭ все будет готово...
Прикрепления: 1779095.jpg (53.1 Kb) · 8934390.jpg (38.1 Kb) · 3665623.jpg (41.0 Kb) · 8378588.jpg (45.9 Kb) · 4806805.jpg (51.4 Kb)
 
naumskierДата: Понедельник, 2012-06-11, 0:00 AM | Сообщение # 2
Абитуриент
Группа: Пользователи
Сообщений: 18
Репутация: 2
Награды: 0
Замечания: 0%
Статус: Offline
Город: Болгар
...
Прикрепления: 8447670.jpg (48.3 Kb) · 2437936.jpg (44.0 Kb) · 5448088.jpg (52.7 Kb) · 6865252.jpg (51.0 Kb) · 1396623.jpg (43.4 Kb)
 
naumskierДата: Понедельник, 2012-06-11, 0:00 AM | Сообщение # 3
Абитуриент
Группа: Пользователи
Сообщений: 18
Репутация: 2
Награды: 0
Замечания: 0%
Статус: Offline
Город: Болгар
...
Прикрепления: 2025659.jpg (46.4 Kb) · 0441441.jpg (53.0 Kb) · 7888130.jpg (34.1 Kb) · 6007039.jpg (48.1 Kb) · 8898632.jpg (40.5 Kb)
 
naumskierДата: Понедельник, 2012-06-11, 0:03 AM | Сообщение # 4
Абитуриент
Группа: Пользователи
Сообщений: 18
Репутация: 2
Награды: 0
Замечания: 0%
Статус: Offline
Город: Болгар
...

Добавлено (2012-06-11, 0:03 AM)
---------------------------------------------
Завтра молекулярка и термодинамика)

Прикрепления: 7083970.jpg (36.5 Kb) · 1188864.jpg (48.6 Kb) · 5456077.jpg (43.6 Kb) · 2160105.jpg (44.9 Kb)
 
tan-chekДата: Понедельник, 2012-06-11, 0:13 AM | Сообщение # 5
Магистр
Группа: Проверенные
Сообщений: 244
Репутация: 115
Награды: 30
Замечания: 0%
Статус: Offline
Город: Самара
С каких пор тривиальная шпора стала пафосно называться "мини-конспекты"? smile
Если хотите, могу предложить свою.
Прикрепления: __.doc (48.5 Kb)
 
frozen11Дата: Понедельник, 2012-06-11, 0:25 AM | Сообщение # 6
Абитуриент
Группа: Пользователи
Сообщений: 7
Репутация: 0
Награды: 0
Замечания: 0%
Статус: Offline
naumskier, спасибо))
 
sheriffДата: Понедельник, 2012-06-11, 5:27 AM | Сообщение # 7
Студент
Группа: Пользователи
Сообщений: 60
Репутация: 15
Награды: 0
Замечания: 0%
Статус: Offline
формулы банальные, а вдруг попадется плотность энергии или индукция внутри катушки, что тогда? smile

ЕГЭ 2012
Русский: 90 чертовски талантлив
Математика: 72 пойдет
Физика: 79 ах, ловкач
Р+М+Ф: 241
 
MepkypuuДата: Понедельник, 2012-06-11, 1:35 PM | Сообщение # 8
Абитуриент
Группа: Пользователи
Сообщений: 5
Репутация: 0
Награды: 0
Замечания: 0%
Статус: Offline
спасибо большое
 
naumskierДата: Понедельник, 2012-06-11, 1:38 PM | Сообщение # 9
Абитуриент
Группа: Пользователи
Сообщений: 18
Репутация: 2
Награды: 0
Замечания: 0%
Статус: Offline
Город: Болгар
Quote (sheriff)
формулы банальные, а вдруг попадется плотность энергии или индукция внутри катушки, что тогда? smile
это только 1 часть - механика, читай выше! Остальные постараюсь сделать сегодня...

Quote (tan-chek)
С каких пор тривиальная шпора стала пафосно называться "мини-конспекты"? smile

Называй как хочешь... Я предпочел назвать их так biggrin
 
tan-chekДата: Понедельник, 2012-06-11, 3:16 PM | Сообщение # 10
Магистр
Группа: Проверенные
Сообщений: 244
Репутация: 115
Награды: 30
Замечания: 0%
Статус: Offline
Город: Самара
naumskier, Ну-ну... tongue
Если восникает что-то нестандартное, типа плотности энергии - смотрите на единицы измерения: если Дж/м³, то формула E/V и т.п. А формула индуктивности соленоида на ЕГЭ вряд ли встретится.


Сообщение отредактировал tan-chek - Понедельник, 2012-06-11, 3:21 PM
 
prm2008Дата: Понедельник, 2012-06-11, 3:55 PM | Сообщение # 11
Профессор
Группа: Проверенные
Сообщений: 815
Репутация: 1199
Награды: 64
Замечания: 0%
Статус: Offline
Еще один мини-конспект smile
Прикрепления: 6490401.doc (295.0 Kb) · fizika.pdf (61.4 Kb)


...чтобы оставаться на одном месте нужно все время двигаться вперед...

Сообщение отредактировал prm2008 - Понедельник, 2012-06-11, 3:56 PM
 
x-IceДата: Понедельник, 2012-06-11, 6:22 PM | Сообщение # 12
Абитуриент
Группа: Пользователи
Сообщений: 13
Репутация: 0
Награды: 0
Замечания: 0%
Статус: Offline
Город: Йошкар-Ола
tan-chek, Красава,отлично сделала)

Сообщение отредактировал x-Ice - Понедельник, 2012-06-11, 6:22 PM
 
naumskierДата: Понедельник, 2012-06-11, 7:20 PM | Сообщение # 13
Абитуриент
Группа: Пользователи
Сообщений: 18
Репутация: 2
Награды: 0
Замечания: 0%
Статус: Offline
Город: Болгар
Начинаю делать МКТ и термодинамику... скоро выложу smile
 
nikon321Дата: Понедельник, 2012-06-11, 7:53 PM | Сообщение # 14
Абитуриент
Группа: Пользователи
Сообщений: 2
Репутация: 0
Награды: 0
Замечания: 0%
Статус: Offline
ахах, так уж и быть, научу вас делать настоящие шпоры)) берем пэинт и ебашим все формулы как можно ближе друг к другу, потом берем фотошоп и печатаем в масштабе этак 10-20% от оригинала, вот пример, это 15%
Прикрепления: 0563359.png (54.2 Kb)
 
nikon321Дата: Понедельник, 2012-06-11, 7:55 PM | Сообщение # 15
Абитуриент
Группа: Пользователи
Сообщений: 2
Репутация: 0
Награды: 0
Замечания: 0%
Статус: Offline
видно вполне норм, и спокойно можно ложить прямо перед собой
Прикрепления: 4117248.jpg (77.9 Kb)


Сообщение отредактировал nikon321 - Понедельник, 2012-06-11, 7:57 PM
 
  • Страница 1 из 2
  • 1
  • 2
  • »
Поиск: