Возможная часть Ц - ФОРУМ Набор курьеров Яндекс.Еда до 3400 руб. в день

Коллективный блог
Форум




Войти
или
Зарегистрироваться
Новые сообщения · Участники · Правила форума · Поиск по форуму · RSS
  • Страница 1 из 2
  • 1
  • 2
  • »
Архив - только для чтения
Возможная часть Ц
InflexДата: Вторник, 2012-06-12, 11:11 PM | Сообщение # 1
Студент
Группа: Пользователи
Сообщений: 78
Репутация: 11
Награды: 0
Замечания: 0%
Статус: Offline
Давайте не будем рассуждать о правильности, говорят, что какой-то репетитор скину ученику со слвоами "срочно решай" и такое возможно будет в МСК.
Давайте просто решим.
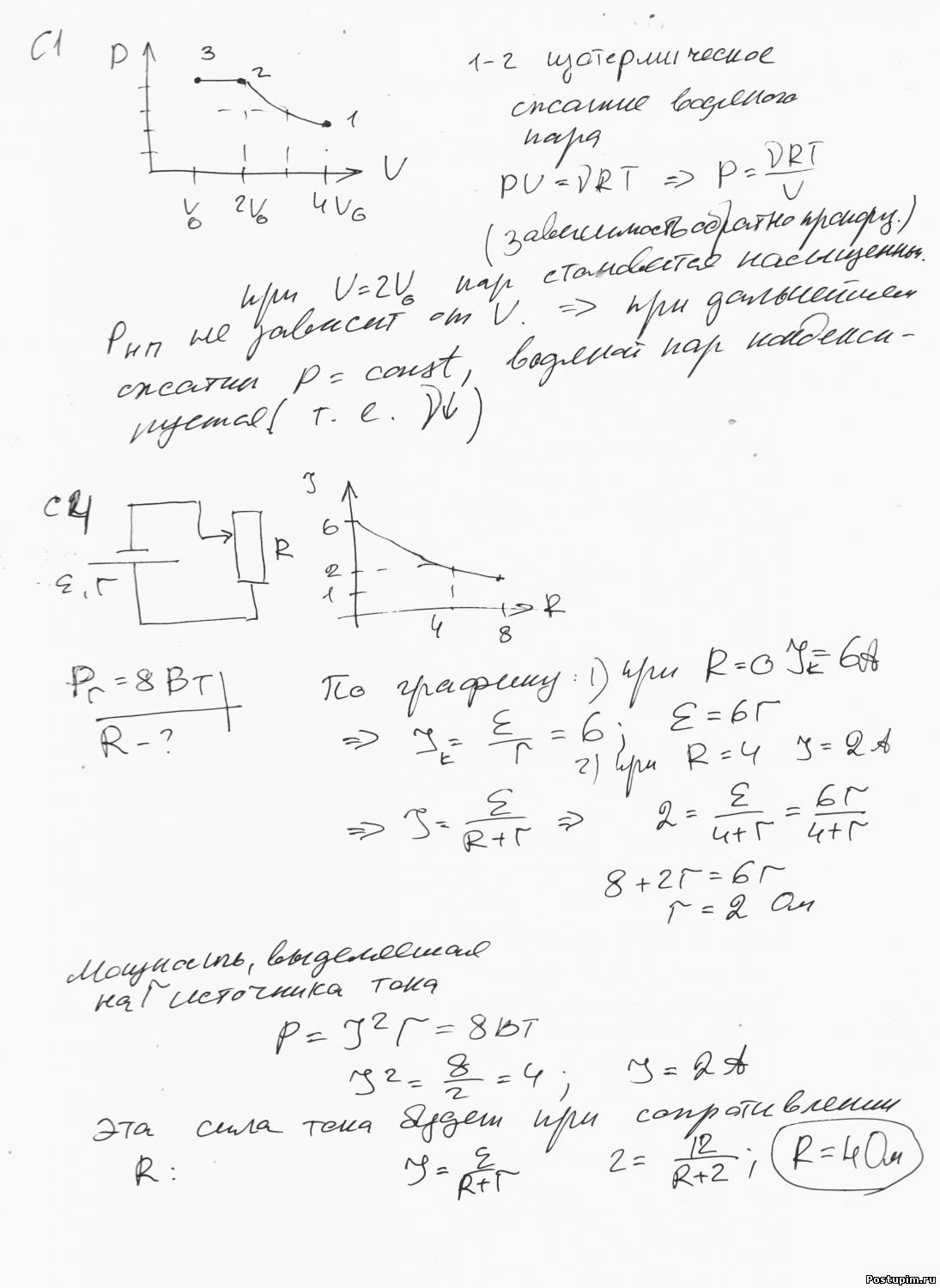
Мои ответы: С1- изотерма, а затем изобара
С3 - 75 Дж
с4- 4 Ом
Прикрепления: 0221171.doc (352.0 Kb)


И-84; Р-92; М-77; Ф-79

Сообщение отредактировал Inflex - Среда, 2012-06-13, 0:11 AM
 
немецДата: Вторник, 2012-06-12, 11:53 PM | Сообщение # 2
Абитуриент
Группа: Пользователи
Сообщений: 1
Репутация: 0
Награды: 0
Замечания: 0%
Статус: Offline
а откуда задания то?
 
lol2102Дата: Вторник, 2012-06-12, 11:59 PM | Сообщение # 3
Абитуриент
Группа: Пользователи
Сообщений: 3
Репутация: 0
Награды: 0
Замечания: 0%
Статус: Offline
даа откуда задания то
 
DoctorKrakerДата: Среда, 2012-06-13, 0:02 AM | Сообщение # 4
Студент
Группа: Пользователи
Сообщений: 88
Репутация: 33
Награды: 5
Замечания: 0%
Статус: Offline
А какая вам собственно разница откуда?) Молча сидите да решайте, пока дают. В любом случае лишняя тренировка никогда не помешает cool

ЕГЭ 2012: connect on
Информатика[76] не кошерно, но пойдёт:)
Русский язык[72] Шикарно!
Математика[72]
Физика[79]
 
Ram74Дата: Среда, 2012-06-13, 0:03 AM | Сообщение # 5
Абитуриент
Группа: Пользователи
Сообщений: 4
Репутация: 0
Награды: 0
Замечания: 0%
Статус: Offline
на абитуриенте тоже лежат такие
 
InflexДата: Среда, 2012-06-13, 0:11 AM | Сообщение # 6
Студент
Группа: Пользователи
Сообщений: 78
Репутация: 11
Награды: 0
Замечания: 0%
Статус: Offline
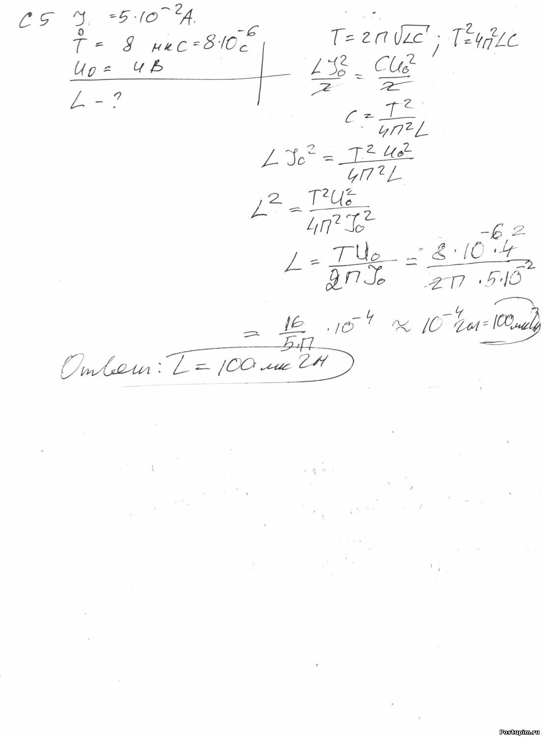
Туда я же и выложил. С3 75Дж, с5 тоже вроде легкая(cu2=li2, отсюда находим отношение индуктивности и емкости и подставляем в t=2pi(sqrt(lc))

И-84; Р-92; М-77; Ф-79
 
zamanДата: Среда, 2012-06-13, 0:16 AM | Сообщение # 7
Студент
Группа: Пользователи
Сообщений: 23
Репутация: 0
Награды: 0
Замечания: 0%
Статус: Offline
а как ты с3 решил?)
 
InflexДата: Среда, 2012-06-13, 0:20 AM | Сообщение # 8
Студент
Группа: Пользователи
Сообщений: 78
Репутация: 11
Награды: 0
Замечания: 0%
Статус: Offline
Процесс изобарный, меняется только объем(0,003*0,1) и температура
U=3/2vRT=3/2pV
A'=pV
Q=U+A=5/2pV=2,5*10^5*3*10^-4


И-84; Р-92; М-77; Ф-79
 
TamiДата: Среда, 2012-06-13, 0:28 AM | Сообщение # 9
Абитуриент
Группа: Пользователи
Сообщений: 10
Репутация: 0
Награды: 0
Замечания: 0%
Статус: Offline
кто 4-ую решил?у меня не выходит
 
zamanДата: Среда, 2012-06-13, 0:37 AM | Сообщение # 10
Студент
Группа: Пользователи
Сообщений: 23
Репутация: 0
Награды: 0
Замечания: 0%
Статус: Offline
я решил, берешь две точки и подставляешь в формулу ЭДС и приравниваешь, находишь r=2Ом и I^2r=8Вт, значит I=2А, а R=4Ом

Добавлено (2012-06-13, 0:37 AM)
---------------------------------------------
кто нить решил С1 и С2?

 
vd_103Дата: Среда, 2012-06-13, 0:38 AM | Сообщение # 11
Абитуриент
Группа: Пользователи
Сообщений: 2
Репутация: 0
Награды: 0
Замечания: 0%
Статус: Offline
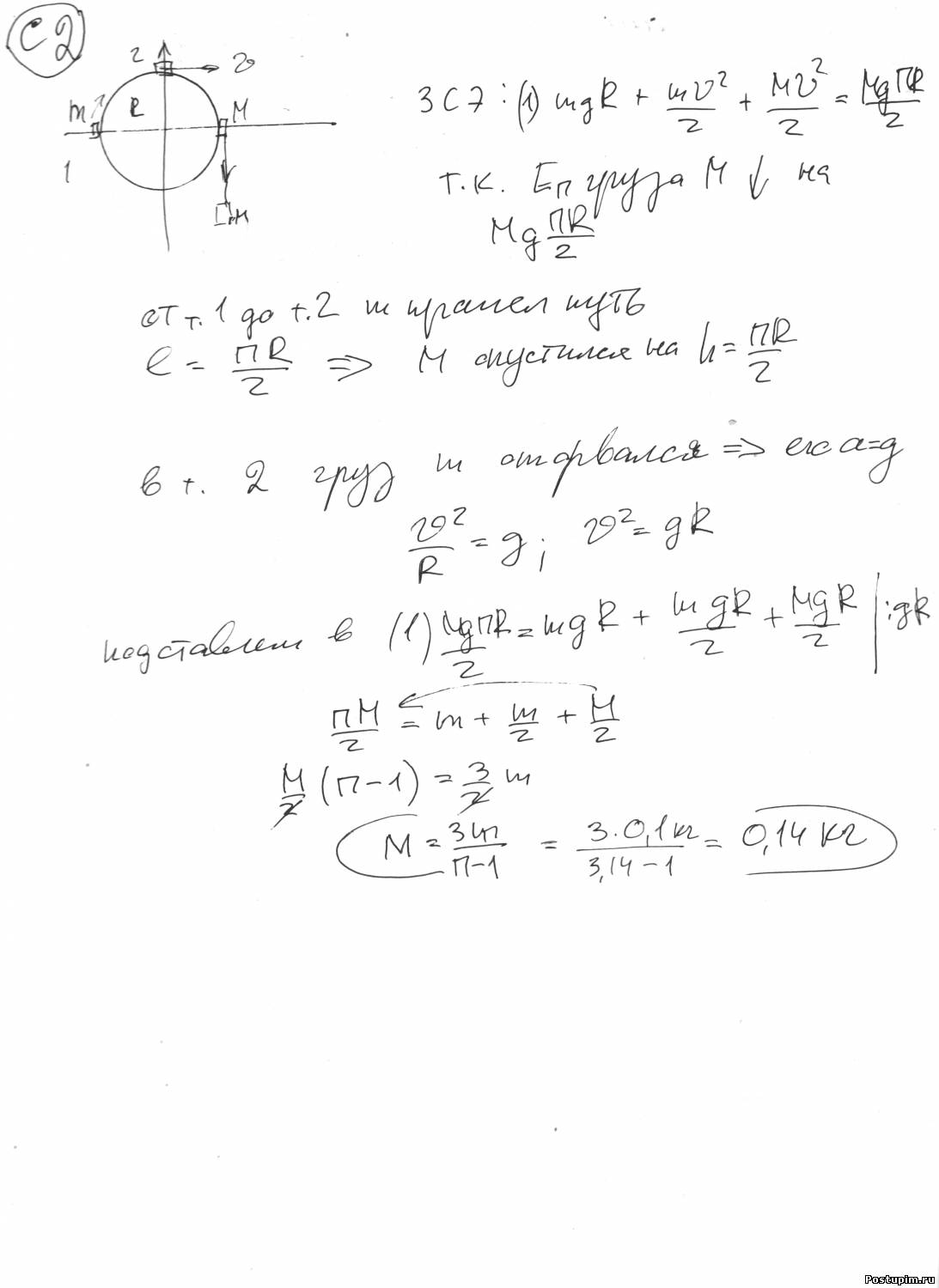
Помогите с2 решить.
 
Zopel2012Дата: Среда, 2012-06-13, 0:59 AM | Сообщение # 12
Студент
Группа: Пользователи
Сообщений: 83
Репутация: 3
Награды: 0
Замечания: 0%
Статус: Offline
Город: Мончегорск
Какая-то хрень)Ребят,лучше спать ложитесь fool

Русский язык-82
Математика-60
Физика-49
 
tan-chekДата: Среда, 2012-06-13, 1:26 AM | Сообщение # 13
Магистр
Группа: Проверенные
Сообщений: 244
Репутация: 115
Награды: 30
Замечания: 0%
Статус: Offline
Город: Самара
Выкладываю свои решения.
Прикрепления: 2565726.jpg (114.1 Kb) · 6138087.jpg (81.6 Kb) · 6589330.jpg (69.8 Kb) · 7755290.jpg (65.6 Kb)


Сообщение отредактировал tan-chek - Четверг, 2012-06-14, 1:02 AM
 
BenWadeДата: Среда, 2012-06-13, 2:21 AM | Сообщение # 14
Бакалавр
Группа: Проверенные
Сообщений: 144
Репутация: 38
Награды: 2
Замечания: 0%
Статус: Offline
tan-chek, спасибо
 
Maria887Дата: Среда, 2012-06-13, 4:02 AM | Сообщение # 15
Студент
Группа: Пользователи
Сообщений: 30
Репутация: 12
Награды: 1
Замечания: 0%
Статус: Offline
спасибо!
 
  • Страница 1 из 2
  • 1
  • 2
  • »
Поиск: