Математика - ФОРУМ Набор курьеров Яндекс.Еда до 3400 руб. в день

Коллективный блог
Форум




Войти
или
Зарегистрироваться
Новые сообщения · Участники · Правила форума · Поиск по форуму · RSS
  • Страница 1 из 1
  • 1
Математика
ParanoidAndroidДата: Понедельник, 2009-07-13, 8:16 PM | Сообщение # 1
Абитуриент
Группа: Пользователи
Сообщений: 3
Репутация: 0
Награды: 0
Замечания: 0%
Статус: Offline
Город: Великий Новгород
помогите, пожалуйста.
Прикрепления: 1529252.jpg (75.8 Kb) · 8475445.jpg (42.2 Kb) · 8509818.jpg (57.1 Kb) · 4305231.jpg (44.6 Kb)


русский язык (done - 96)
математика (done - 66)
химия (fail - 46)
обществознание (done - 72)
 
VladqДата: Вторник, 2009-07-14, 12:05 PM | Сообщение # 2
Нобелевский лауреат
Группа: Проверенные
Сообщений: 8014
Репутация: 4798
Награды: 247
Замечания: 0%
Статус: Offline
ParanoidAndroid, как я понял это задачки вступительных экзаменов в какой-то вуз?
 
albegaДата: Вторник, 2009-07-14, 3:49 PM | Сообщение # 3
Академик
Группа: Проверенные
Сообщений: 1176
Репутация: 756
Награды: 79
Замечания: 20%
Статус: Offline
Город: Москва
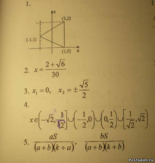
1 и 2 схематично
Прикрепления: 4616096.gif (20.6 Kb)


проходные баллы в вузы
егэ по математике 2010
Революция в ЕГЭ 2010 (В.И. Ленин)
 
Disa91Дата: Вторник, 2009-07-14, 4:25 PM | Сообщение # 4
Абитуриент
Группа: Пользователи
Сообщений: 12
Репутация: 2
Награды: 0
Замечания: 0%
Статус: Offline
Vladq, правильно понял

Добавлено (2009-07-14, 4:25 Pm)
---------------------------------------------
почему в действии а) так ищется q?

Сообщение отредактировал Disa91 - Вторник, 2009-07-14, 4:09 PM
 
albegaДата: Вторник, 2009-07-14, 4:45 PM | Сообщение # 5
Академик
Группа: Проверенные
Сообщений: 1176
Репутация: 756
Награды: 79
Замечания: 20%
Статус: Offline
Город: Москва
Quote (Disa91)
почему в действии а) так ищется q?

1/((2k-1)*(2k+1))=(1/2)*(1/(2k-1) - 1/(2k+1))


проходные баллы в вузы
егэ по математике 2010
Революция в ЕГЭ 2010 (В.И. Ленин)
 
AqurySДата: Воскресенье, 2009-07-19, 2:06 PM | Сообщение # 6
Аспирант
Группа: Проверенные
Сообщений: 301
Репутация: 36
Награды: 8
Замечания: 0%
Статус: Offline
Задача №6:
Ответ 10%



The Institute of Asian and African Studies
Russian language - 8x
English language - 8x
History - 8x

[Recommended]
 
SparkДата: Понедельник, 2009-08-03, 9:33 PM | Сообщение # 7
Почетный академик
Группа: Проверенные
Сообщений: 2114
Репутация: 282
Награды: 188
Замечания: 60%
Статус: Offline
Город: Москва
100% правильный ответ 10%

Нужно учиться хранить воспоминания, а не таскать их за собой как тяжелый груз.
 
  • Страница 1 из 1
  • 1
Поиск: