ответы к 8 вариантам С3 - ФОРУМ Набор курьеров Яндекс.Еда до 3400 руб. в день

Коллективный блог
Форум




Войти
или
Зарегистрироваться
Новые сообщения · Участники · Правила форума · Поиск по форуму · RSS
  • Страница 1 из 2
  • 1
  • 2
  • »
Архив - только для чтения
ответы к 8 вариантам С3
maksimusДата: Пятница, 2013-05-31, 0:38 AM | Сообщение # 1
Академик
Группа: Проверенные
Сообщений: 1190
Репутация: 961
Награды: 72
Замечания: 0%
Статус: Offline
ждите. решаю. Пока ждете - репутацию повысьте, народ! Мне тут еще работать много лет  cool

Мог и наврать в ночи, так что, уверен на 99,9%.

Прикрепления: 8078563.jpg (82.4 Kb)


МАТЕМАТИКA АСЯ 633432074

Очистите голову от мусора и задница сама избавится от проблем.

Интуиция - это способность головы чувствовать задницей(с)


Сообщение отредактировал maksimus - Пятница, 2013-05-31, 3:09 PM
 
alinaanilaДата: Пятница, 2013-05-31, 10:59 AM | Сообщение # 2
Абитуриент
Группа: Пользователи
Сообщений: 9
Репутация: 0
Награды: 0
Замечания: 0%
Статус: Offline
Скиньте решение хотя бы одного, пожалуйста
 
markrasnoДата: Пятница, 2013-05-31, 11:31 AM | Сообщение # 3
Студент
Группа: Пользователи
Сообщений: 60
Репутация: 0
Награды: 0
Замечания: 0%
Статус: Offline
Город: Москва
Цитата (maksimus)
уверен на 99,9%.
чо-то мне не везет sad с решением... у меня в первом варианте ответ:  [2/9; -1+log2(3)]
 
aqvlДата: Пятница, 2013-05-31, 11:34 AM | Сообщение # 4
Бакалавр
Группа: Проверенные
Сообщений: 194
Репутация: 25
Награды: 7
Замечания: 0%
Статус: Offline
markrasno, преобразуй ответ

ВМК МГУ

Сообщение отредактировал aqvl - Пятница, 2013-05-31, 11:34 AM
 
violetsДата: Пятница, 2013-05-31, 11:37 AM | Сообщение # 5
Бакалавр
Группа: Проверенные
Сообщений: 179
Репутация: 12
Награды: 0
Замечания: 0%
Статус: Offline
1 и 2 варианты у меня сошлись. Дальше не решала.
 
maksimusДата: Пятница, 2013-05-31, 12:29 PM | Сообщение # 6
Академик
Группа: Проверенные
Сообщений: 1190
Репутация: 961
Награды: 72
Замечания: 0%
Статус: Offline
markrasno, правы мы оба, ответ в разной форме. засчитают и то, и то.

МАТЕМАТИКA АСЯ 633432074

Очистите голову от мусора и задница сама избавится от проблем.

Интуиция - это способность головы чувствовать задницей(с)
 
shoker4gДата: Пятница, 2013-05-31, 12:47 PM | Сообщение # 7
Абитуриент
Группа: Пользователи
Сообщений: 12
Репутация: 0
Награды: 0
Замечания: 0%
Статус: Offline
Выложите пожалуйста подробное решения С3 из 2-го варианта. Не получается что-то ...

Сообщение отредактировал shoker4g - Пятница, 2013-05-31, 12:48 PM
 
leidenitДата: Пятница, 2013-05-31, 1:40 PM | Сообщение # 8
Абитуриент
Группа: Пользователи
Сообщений: 6
Репутация: 9
Награды: 1
Замечания: 0%
Статус: Offline
Можете описать процедуру сравнивания логорифма с дробью пожалуйста(а вдруг будут типовые задания с другими числами и придётся сравнивать ).
 
Ирина_ВПЛДата: Пятница, 2013-05-31, 2:01 PM | Сообщение # 9
Абитуриент
Группа: Пользователи
Сообщений: 15
Репутация: 1
Награды: 0
Замечания: 0%
Статус: Offline
leidenit, если взять для примера задание из 1-го варианта (log23 - 1  сравниваем с 2/9), то можно рассуждать так:

2 в степени 3/2 - это корень квадратный из 2 в кубе, т.е. корень из 8 = 2 * корень из 2 = 2*1,41 = 2,82
3>2.82, значит log23 > log22.82 
log23 >3/2
следовательно, log23 - 1 > 3/2 - 1
log23 - 1 > 1/2

т.к. 1/2>2/9 , log23 - 1 > 2/9

Мне лично такие размышления кажутся слишком мудрёными. Надеюсь, есть способ попроще))


ЕГЭ 2013:
Русский язык - 95
Математика - 87
Обществознание - 88
 
leidenitДата: Пятница, 2013-05-31, 2:13 PM | Сообщение # 10
Абитуриент
Группа: Пользователи
Сообщений: 6
Репутация: 9
Награды: 1
Замечания: 0%
Статус: Offline
Благодарю !
 
Ирина_ВПЛДата: Пятница, 2013-05-31, 2:16 PM | Сообщение # 11
Абитуриент
Группа: Пользователи
Сообщений: 15
Репутация: 1
Награды: 0
Замечания: 0%
Статус: Offline
тьфу ты, можно же гораздо проще)))

1/2 = log21,41 (приблизительно равно, конечно)
log21,5 > log21,41    и 1/2 > 2/9

следовательно, log21,5 > 2/9


ЕГЭ 2013:
Русский язык - 95
Математика - 87
Обществознание - 88


Сообщение отредактировал Ирина_ВПЛ - Пятница, 2013-05-31, 2:17 PM
 
muhahaДата: Пятница, 2013-05-31, 2:18 PM | Сообщение # 12
Студент
Группа: Проверенные
Сообщений: 53
Репутация: 0
Награды: 1
Замечания: 0%
Статус: Offline
...

ЕГЭ 2013:русский, математика, физика

Сообщение отредактировал muhaha - Пятница, 2013-05-31, 2:18 PM
 
leidenitДата: Пятница, 2013-05-31, 2:52 PM | Сообщение # 13
Абитуриент
Группа: Пользователи
Сообщений: 6
Репутация: 9
Награды: 1
Замечания: 0%
Статус: Offline
У меня в 4 варианте получилась граница log(3)4/2 а не log(3)4 можете проверить и отписаться(возможно я накосячил).
 
maksimusДата: Пятница, 2013-05-31, 2:59 PM | Сообщение # 14
Академик
Группа: Проверенные
Сообщений: 1190
Репутация: 961
Награды: 72
Замечания: 0%
Статус: Offline
leidenit, МОЛОДЧИНА!!!!!!!!!!!!!! Исправляю.

МАТЕМАТИКA АСЯ 633432074

Очистите голову от мусора и задница сама избавится от проблем.

Интуиция - это способность головы чувствовать задницей(с)


Сообщение отредактировал maksimus - Пятница, 2013-05-31, 3:08 PM
 
shoker4gДата: Пятница, 2013-05-31, 9:44 PM | Сообщение # 15
Абитуриент
Группа: Пользователи
Сообщений: 12
Репутация: 0
Награды: 0
Замечания: 0%
Статус: Offline
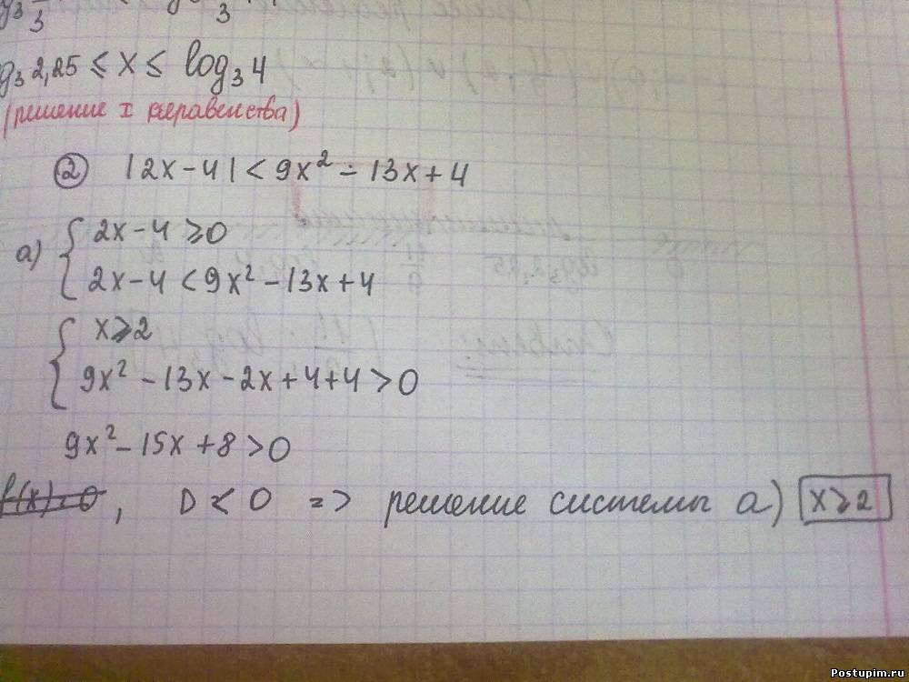
Посмотрите пожалуйста моё решение С3 к варианту №3 ) Ответ сошелся, однако хотелось бы убедиться, что все написал правильно, особенно в первом неравенстве.
Прикрепления: 1807436.jpg (256.3 Kb) · 2035243.jpg (255.0 Kb) · 3455974.jpg (249.8 Kb) · 6059030.jpg (240.7 Kb)
 
  • Страница 1 из 2
  • 1
  • 2
  • »
Поиск: