С5 и С6 - Страница 3 - ФОРУМ Набор курьеров Яндекс.Еда до 3400 руб. в день

Коллективный блог
Форум




Войти
или
Зарегистрироваться
Новые сообщения · Участники · Правила форума · Поиск по форуму · RSS
  • Страница 3 из 8
  • «
  • 1
  • 2
  • 3
  • 4
  • 5
  • 7
  • 8
  • »
Архив - только для чтения
С5 и С6
Kit-KatДата: Вторник, 2011-04-12, 9:40 PM | Сообщение # 31
Абитуриент
Группа: Пользователи
Сообщений: 12
Репутация: 0
Награды: 0
Замечания: 0%
Статус: Offline
Возникли вопросы с ответом, решила..но ответ не совсем тот((
Помогите разобраться..
Ниже задание и моё решение)
Прикрепления: 6926522.jpg (29.1 Kb) · 4012734.jpg (236.9 Kb)


Сообщение отредактировал Kit-Kat - Вторник, 2011-04-12, 9:49 PM
 
E=mc2Дата: Вторник, 2011-04-12, 10:18 PM | Сообщение # 32
Бакалавр
Группа: Проверенные
Сообщений: 119
Репутация: 21
Награды: 0
Замечания: 40%
Статус: Offline
Quote (Kit-Kat)
Возникли вопросы с ответом, решила..но ответ не совсем тот((
Помогите разобраться..
Ниже задание и моё решение)
Прикрепления: 6926522.jpg(29Kb) · 4012734.jpg(237Kb)

интервал взялся из ответа!
 
Kit-KatДата: Среда, 2011-04-13, 11:25 AM | Сообщение # 33
Абитуриент
Группа: Пользователи
Сообщений: 12
Репутация: 0
Награды: 0
Замечания: 0%
Статус: Offline
Всмысле из ответа?
Я нашла, что а=0,8 и а=4.
И подумала, что это и есть ответ.
А промежуток от (0; 0,8] у меня не получается
 
kulДата: Среда, 2011-04-13, 12:46 PM | Сообщение # 34
Бакалавр
Группа: Проверенные
Сообщений: 109
Репутация: 30
Награды: 7
Замечания: 0%
Статус: Offline
Город: Ростов-на-Дону
Kit-Kat, вот решение. А откуда задача?
Прикрепления: 2881564.jpg (183.5 Kb)
 
kulДата: Среда, 2011-04-13, 1:13 PM | Сообщение # 35
Бакалавр
Группа: Проверенные
Сообщений: 109
Репутация: 30
Награды: 7
Замечания: 0%
Статус: Offline
Город: Ростов-на-Дону
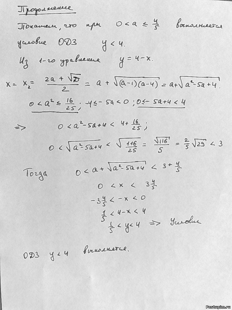
Kit-Kat, забыл, кстати, показать, что при найденных значениях а из промежутка (случай б) в решении) система имеет решение. Здесь окончание решения...
Прикрепления: 0626918.jpg (137.0 Kb)
 
E=mc2Дата: Среда, 2011-04-13, 4:03 PM | Сообщение # 36
Бакалавр
Группа: Проверенные
Сообщений: 119
Репутация: 21
Награды: 0
Замечания: 40%
Статус: Offline
^ пиздатый у тебя почерк happy
 
Kit-KatДата: Среда, 2011-04-13, 5:03 PM | Сообщение # 37
Абитуриент
Группа: Пользователи
Сообщений: 12
Репутация: 0
Награды: 0
Замечания: 0%
Статус: Offline
kul, задача из спец. сборника по теме С5)
за решение и объяснение огромное спасибо, жаль, что даже учителя не всегда так объяснят;))
 
kulДата: Четверг, 2011-04-14, 11:38 AM | Сообщение # 38
Бакалавр
Группа: Проверенные
Сообщений: 109
Репутация: 30
Награды: 7
Замечания: 0%
Статус: Offline
Город: Ростов-на-Дону
Kit-Kat, а всё-таки - что за спец. сборник? Автор? Издательство?
Интересно было бы взглянуть...
 
summersgoneДата: Четверг, 2011-04-14, 1:05 PM | Сообщение # 39
Аспирант
Группа: Проверенные
Сообщений: 462
Репутация: 186
Награды: 2
Замечания: 0%
Статус: Offline
по сложности не очень тянет)

митол \m/

http://vkontakte.ru/id5851252

what goes around comes around

финашечка. ФиК
 
gezczuДата: Четверг, 2011-04-14, 9:40 PM | Сообщение # 40
Почетный академик
Группа: Проверенные
Сообщений: 2696
Репутация: 1438
Награды: 116
Замечания: 0%
Статус: Offline
Город: Москва
Элементарное С5. Хочется просто узнать ответ)
При каких `a` уравнение `(7x-a)log_7(9+x)=0` имеет единственное решение?


Мехмат МГУ 1 курс
 
n1boyДата: Пятница, 2011-04-15, 1:51 AM | Сообщение # 41
Абитуриент
Группа: Пользователи
Сообщений: 4
Репутация: 10
Награды: 0
Замечания: 0%
Статус: Offline
Quote (gezczu)
Элементарное С5. Хочется просто узнать ответ) При каких `a` уравнение `(7x-a)log_7(9+x)=0` имеет единственное решение?

`a in (-oo;-63], a=-56`.
P.S. Это не С5

Добавлено (2011-04-15, 1:51 Am)
---------------------------------------------

Quote (kul)
Kit-Kat, забыл, кстати, показать, что при найденных значениях а из промежутка (случай б) в решении) система имеет решение. Здесь окончание решения...
Прикрепления: 0626918.jpg(137Kb)

КЭП как бы намекает, что из условия `x>0` следует условие `4-y>0`. Поэтому никаких проверок не надо.


Сообщение отредактировал n1boy - Пятница, 2011-04-15, 2:13 AM
 
albegaДата: Пятница, 2011-04-15, 2:41 AM | Сообщение # 42
Академик
Группа: Проверенные
Сообщений: 1176
Репутация: 756
Награды: 79
Замечания: 20%
Статус: Offline
Город: Москва
Quote (n1boy)
КЭП как бы намекает, что из условия `x>0` следует условие `4-y>0`. Поэтому никаких проверок не надо.

надо писать какбе. Вот тогда хорош, вот тогда профи.


проходные баллы в вузы
егэ по математике 2010
Революция в ЕГЭ 2010 (В.И. Ленин)
 
gezczuДата: Пятница, 2011-04-15, 7:47 AM | Сообщение # 43
Почетный академик
Группа: Проверенные
Сообщений: 2696
Репутация: 1438
Награды: 116
Замечания: 0%
Статус: Offline
Город: Москва
Quote (n1boy)
Это не С5

Это С5!
За ответ спасибо smile


Мехмат МГУ 1 курс
 
kulДата: Пятница, 2011-04-15, 11:24 AM | Сообщение # 44
Бакалавр
Группа: Проверенные
Сообщений: 109
Репутация: 30
Награды: 7
Замечания: 0%
Статус: Offline
Город: Ростов-на-Дону
Quote (n1boy)
КЭП как бы намекает, что из условия `x>0` следует условие `4-y>0`. Поэтому никаких проверок не надо.

n1boy, согласен! Погорячился... Действительно, из условия `x>0` следует условие `4-y>0` и проверка не нужна.

А кто такой КЭП?

Сообщение отредактировал kul - Пятница, 2011-04-15, 11:24 AM
 
n1boyДата: Пятница, 2011-04-15, 3:54 PM | Сообщение # 45
Абитуриент
Группа: Пользователи
Сообщений: 4
Репутация: 10
Награды: 0
Замечания: 0%
Статус: Offline
Quote (albega)
Вот тогда хорош, вот тогда профи

Не, я на статус профи не тяну.
Quote (n1boy)
А кто такой КЭП?

кэп очевидность


Сообщение отредактировал n1boy - Пятница, 2011-04-15, 3:55 PM
 
  • Страница 3 из 8
  • «
  • 1
  • 2
  • 3
  • 4
  • 5
  • 7
  • 8
  • »
Поиск: