|
Помогите решить С3 и С4
|
|
| _HOKAGE_ | Дата: Пятница, 2011-03-25, 11:38 PM | Сообщение # 16 |
Аспирант
Группа: Проверенные
Сообщений: 354
Репутация: 241
Замечания: 0%
Статус: Offline
Город: Алматы
| радиус этой окружности S вроде 29, дальше хз че делать
|
| |
| |
| ilnaz04 | Дата: Пятница, 2011-03-25, 11:51 PM | Сообщение # 17 |
Студент
Группа: Пользователи
Сообщений: 39
Репутация: 1
Замечания: 0%
Статус: Offline
Город: New York
| Первый случай я решил - вышло 24 правильно, а вот во втором случае в ответе стоит 400, только как он выходит...
|
| |
| |
| Shego | Дата: Пятница, 2011-03-25, 11:55 PM | Сообщение # 18 |
Профессор
Группа: Проверенные
Сообщений: 849
Репутация: 724
Замечания: 0%
Статус: Offline
| Quote (_HOKAGE_) радиус этой окружности S вроде 29, дальше хз че делать Думай,бро,думай 
ЕГЭ:Русский язык - 92 Математика - 90 Физика - 73 ДВИ: Математика (МГУ) - 100 Физика (МГУ) - 71 Мехмат МГУ 2012 (Если не передумаю до 5 августа) p.s. не передумал
|
| |
| |
| _HOKAGE_ | Дата: Суббота, 2011-03-26, 0:11 AM | Сообщение # 19 |
Аспирант
Группа: Проверенные
Сообщений: 354
Репутация: 241
Замечания: 0%
Статус: Offline
Город: Алматы
| Quote (Shego) Думай,бро,думай а у тебя ченить вышло? по сабжу чекни про окружность задача, может 58/sqrt(3)? опоп журнал Maxim докачал не до геометрии это Люба говорит
Сообщение отредактировал _HOKAGE_ - Суббота, 2011-03-26, 0:11 AM |
| |
| |
| Shego | Дата: Суббота, 2011-03-26, 0:19 AM | Сообщение # 20 |
Профессор
Группа: Проверенные
Сообщений: 849
Репутация: 724
Замечания: 0%
Статус: Offline
| Quote (_HOKAGE_) а у тебя ченить вышло? Не пробовал.Я даже ту задачу для 5-го класса не понял как решать.Точнее что-то не так у меня о.о. Quote (_HOKAGE_) по сабжу чекни про окружность задача, может 58/sqrt(3)? Это мне адресовано?xD Quote (_HOKAGE_) опоп журнал Maxim докачал Читай "Квант".Какой нах Maxim? Quote (_HOKAGE_) не до геометрии это Люба говорит Я тебя щас сломаю,придурок,я тебя сломаю.Слышь ты,Торрантино.
ЕГЭ:Русский язык - 92 Математика - 90 Физика - 73 ДВИ: Математика (МГУ) - 100 Физика (МГУ) - 71 Мехмат МГУ 2012 (Если не передумаю до 5 августа) p.s. не передумал
Сообщение отредактировал Shego - Суббота, 2011-03-26, 0:19 AM |
| |
| |
| _HOKAGE_ | Дата: Суббота, 2011-03-26, 0:24 AM | Сообщение # 21 |
Аспирант
Группа: Проверенные
Сообщений: 354
Репутация: 241
Замечания: 0%
Статус: Offline
Город: Алматы
| на самом деле скачал чтоб позырить фотки Анны Плетневы остальное нах не надо  Добавлено (2011-03-26, 0:24 Am) --------------------------------------------- кстати на торрентах гигами лежит "Квант" ппц в этой жизни не успею прочесть походу ка ах да еще "Юный техник" есть, тоже занаятная вещь вроде 
|
| |
| |
| ilnaz04 | Дата: Суббота, 2011-03-26, 0:26 AM | Сообщение # 22 |
Студент
Группа: Пользователи
Сообщений: 39
Репутация: 1
Замечания: 0%
Статус: Offline
Город: New York
| Quote (ilnaz04) Первый случай я решил - вышло 24 правильно, а вот во втором случае в ответе стоит 400 Не 400, а 140 оказывается, я другой вариант посмотрел ничайно... Ответ: 24 или 140.
|
| |
| |
| _HOKAGE_ | Дата: Суббота, 2011-03-26, 0:28 AM | Сообщение # 23 |
Аспирант
Группа: Проверенные
Сообщений: 354
Репутация: 241
Замечания: 0%
Статус: Offline
Город: Алматы
| это в задаче с окружностями?
|
| |
| |
| Shego | Дата: Суббота, 2011-03-26, 0:30 AM | Сообщение # 24 |
Профессор
Группа: Проверенные
Сообщений: 849
Репутация: 724
Замечания: 0%
Статус: Offline
| Quote (ilnaz04) нЕчаЯННо... Параллельно подтягиваем русский язык,ага. Добавлено (2011-03-26, 0:30 Am) --------------------------------------------- Quote (_HOKAGE_) а у тебя ЧТО-НИБУДЬ вышло? Буду е***ь мозг,пока не напишете русский язык на 100 баллов.
ЕГЭ:Русский язык - 92 Математика - 90 Физика - 73 ДВИ: Математика (МГУ) - 100 Физика (МГУ) - 71 Мехмат МГУ 2012 (Если не передумаю до 5 августа) p.s. не передумал
Сообщение отредактировал Shego - Суббота, 2011-03-26, 0:32 AM |
| |
| |
| ilnaz04 | Дата: Суббота, 2011-03-26, 0:35 AM | Сообщение # 25 |
Студент
Группа: Пользователи
Сообщений: 39
Репутация: 1
Замечания: 0%
Статус: Offline
Город: New York
| Quote (_HOKAGE_) это в задаче с окружностями? Коечно)Добавлено (2011-03-26, 0:35 Am) --------------------------------------------- Блин этот код безопасности задрал уже - нихрена не видно...
|
| |
| |
| _HOKAGE_ | Дата: Суббота, 2011-03-26, 0:52 AM | Сообщение # 26 |
Аспирант
Группа: Проверенные
Сообщений: 354
Репутация: 241
Замечания: 0%
Статус: Offline
Город: Алматы
| набей побольше постов, будешь без кода вводить
|
| |
| |
| Викки | Дата: Суббота, 2011-03-26, 12:17 PM | Сообщение # 27 |
|
Бакалавр
Группа: Проверенные
Сообщений: 104
Репутация: 93
Замечания: 0%
Статус: Offline
| Второй случай внешнее касание 1)треугольник АВС `АС=42, ВС=40`,отсюда `АВ=58`, значит радиус описанной окружности равен 29( центр `О_1` в середине гипотенузы) 2)M - точка касания окружностей, `О_1М=29` O- центр окружности (С) ,`R =ON=OF=OM` её радиус 3)в треуг.`O_1OK` `O_1O=R+29; O_1K=R- 20; OK=R- 21` `(R - 20)^2+(R- 21)^2=(R+29)^2` `R^2- 140R=0 => R=140`
|
| |
| |
| ilnaz04 | Дата: Вторник, 2011-03-29, 10:50 AM | Сообщение # 28 |
Студент
Группа: Пользователи
Сообщений: 39
Репутация: 1
Замечания: 0%
Статус: Offline
Город: New York
| С4. Высота равнобедренного треугольника, опущенная на основание, равна 18, а радиус вписаной окружности равен 5. Найдите радиус окружности, касающейся стороны треугольника и продолжений двух других его сторон. Добавлено (2011-03-26, 1:26 PM) --------------------------------------------- С4. Дан ромб АВСD с диагоналями АС=30 и ВD=16. Проведена окружность радиусом 4х2^0,5 (ну или 4х в корне2) с центром в точке пересечения диагоналей ромба. Прямая, проходящая через вершину В, касается этой окружности и пересекает прямую СD в точке М. Найдите СМ. Добавлено (2011-03-29, 10:50 Am) ---------------------------------------------
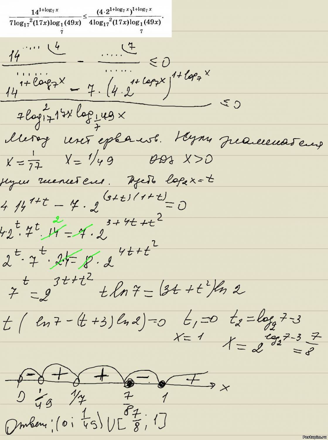
Quote (ilnaz04) Прикрепления: 9295383.jpg(265Kb) Кто может помогите решить С3
|
| |
| |
| maksimus | Дата: Вторник, 2011-03-29, 5:22 PM | Сообщение # 29 |
Академик
Группа: Проверенные
Сообщений: 1190
Репутация: 961
Замечания: 0%
Статус: Offline
| Держи! Только одну описку лень править, там на оси надо не 1/7 писать, а 1/17.
МАТЕМАТИКA АСЯ 633432074
Очистите голову от мусора и задница сама избавится от проблем.
Интуиция - это способность головы чувствовать задницей(с)
Сообщение отредактировал maksimus - Вторник, 2011-03-29, 5:27 PM |
| |
| |
| хАШОТх | Дата: Вторник, 2011-04-05, 3:47 PM | Сообщение # 30 |
Почетный академик
Группа: Проверенные
Сообщений: 2019
Репутация: 456
Замечания: 100%
Статус: Offline
| maksimus, я вот дошел до 7^t = 2^3t + t^2 дальше и не додумался решать через ln. только так можно решить, никак иначе?
true till first party. 2Al + 2Cu => 2Au + Cl2
|
| |
| |